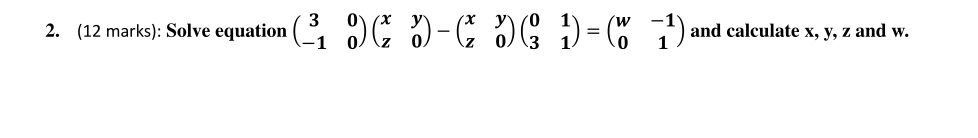
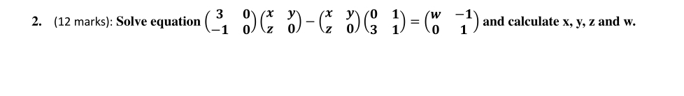
Question: with calculation please 2. (12 marks): Solve equation (2 9)( b-G DC D)=( ) and calculate x, y, z and w

with calculation please

2. (12 marks): Solve equation (2 9)( b-G DC D)=( ) and calculate x, y, z and w
Step by Step Solution
There are 3 Steps involved in it
Get step-by-step solutions from verified subject matter experts
