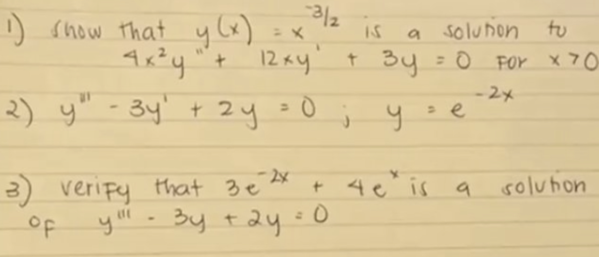
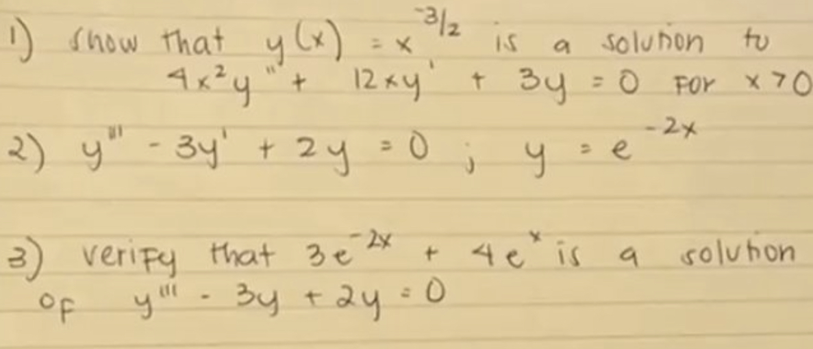
Question: with detailed solution Show that y (x -3/2 E X Is a solution to 4 x 24 + 12 xy + 39 = 0 For

with detailed solution

Show that y (x -3/2 E X Is a solution to 4 x 24 "+ 12 xy + 39 = 0 For X 70 2) y" - 34' + 2 9 = 0 2X y = e 3 verify that 3 e 2x + 4e is a solution of you - 3 4 + 24 : 0
Step by Step Solution
There are 3 Steps involved in it
Get step-by-step solutions from verified subject matter experts
