Question: With the given code below, how can I output the RMSE(Root Meaned Squared Error) outcome for each model? This is a snipit of the code
With the given code below, how can I output the RMSE(Root Meaned Squared Error) outcome for each model? This is a snipit of the code but if more is required let me know so i can repost this question thanks. (Python 3.6 using Jupyter Notebook)







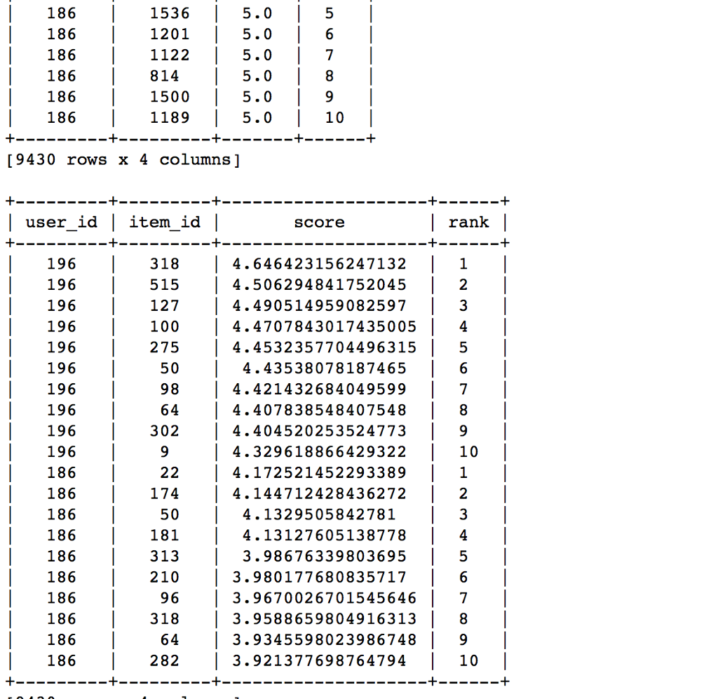
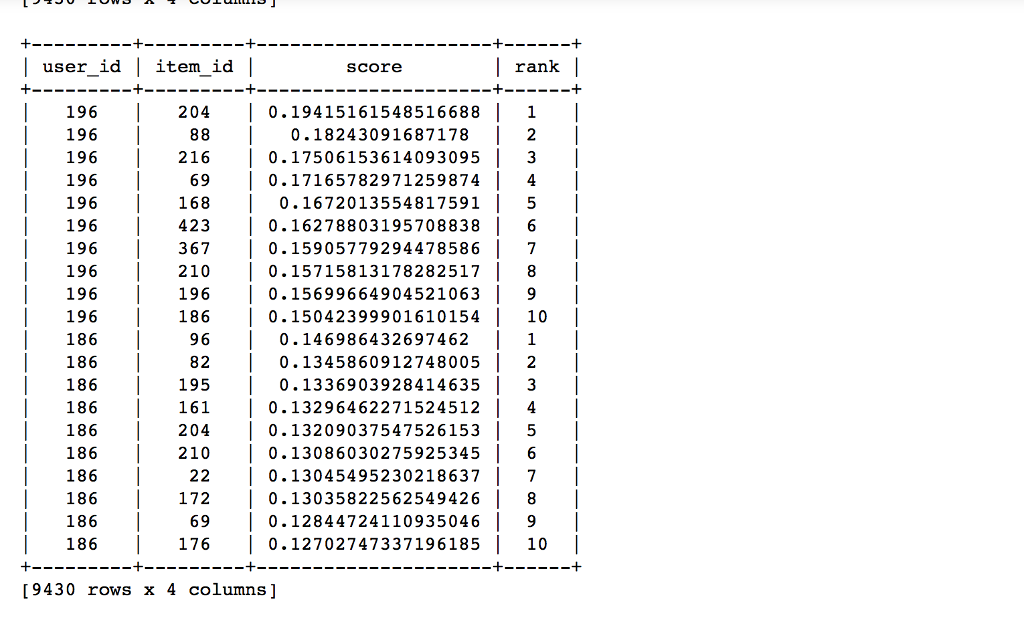
Create a Recommender Model A recommender system allows you to build personalized recommendation systems to users. There are many methods to do this. In this project, you will need to use three of these methods which are popularity-based recommender model, factorization recommenders model, and item similarity model Turi has easy-to-implement recommender models. You can use Turi's recommender models for your dataset. For more information check here The steps of building a recommender system are; Do not forget to convert your dataset to SFrame type. Also split the dataset for training, testing, and validation processes. Write code here Create and Apply each model to your dataset. (In this assignment, you will use three different methods as listed above) Write code here Find top k recommendations. (Display top k-5 recommendations and check the scores of them.)Write code here Evaluate your model. (Check your model with confusion matrix metrics and find how accurate your model is to recommend movies to users.)Write code here Convert dataset to SFrame datasFtc.SFrame (datadataDF) #Prepare dataset (R-fold cross validation for train-test-validation train-data, test-data cv.train-test-split(dataDP, test-sizes0.25) dataset splitting) Create a Recommender Model A recommender system allows you to build personalized recommendation systems to users. There are many methods to do this. In this project, you will need to use three of these methods which are popularity-based recommender model, factorization recommenders model, and item similarity model Turi has easy-to-implement recommender models. You can use Turi's recommender models for your dataset. For more information check here The steps of building a recommender system are; Do not forget to convert your dataset to SFrame type. Also split the dataset for training, testing, and validation processes. Write code here Create and Apply each model to your dataset. (In this assignment, you will use three different methods as listed above) Write code here Find top k recommendations. (Display top k-5 recommendations and check the scores of them.)Write code here Evaluate your model. (Check your model with confusion matrix metrics and find how accurate your model is to recommend movies to users.)Write code here Convert dataset to SFrame datasFtc.SFrame (datadataDF) #Prepare dataset (R-fold cross validation for train-test-validation train-data, test-data cv.train-test-split(dataDP, test-sizes0.25) dataset splitting)
Step by Step Solution
There are 3 Steps involved in it
Get step-by-step solutions from verified subject matter experts
