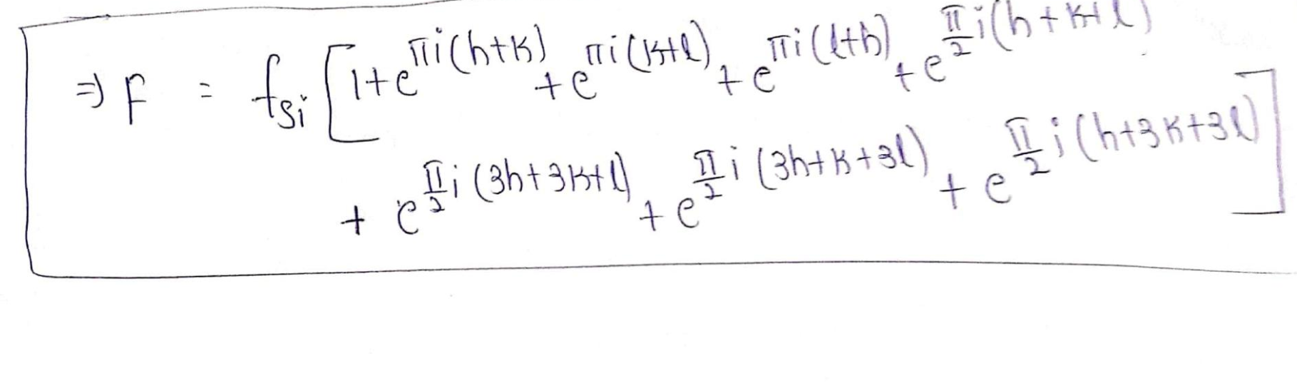
Question: with this being the Structure factor determination what would the F ^ 2 look like for planes ( 1 1 1 ) , ( 1
with this being the Structure factor determination what would the F look like for planes and The unit cell is diamond cubic.
Step by Step Solution
There are 3 Steps involved in it
1 Expert Approved Answer
Step: 1 Unlock
Question Has Been Solved by an Expert!
Get step-by-step solutions from verified subject matter experts
Step: 2 Unlock
Step: 3 Unlock
