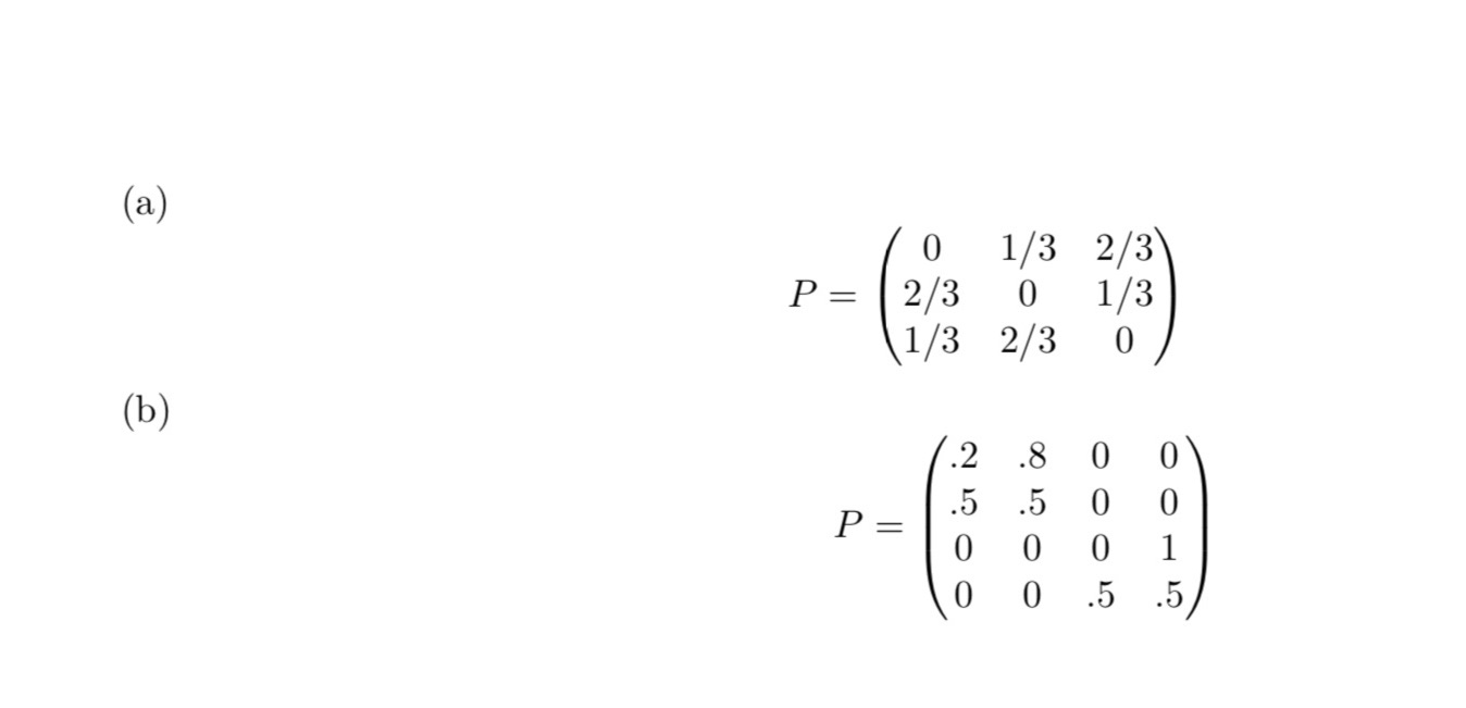
Question: Without using any software package, find P100 approximately (b) 0 2/3 1/3 .2 .5 0 0 1/3 0 2/3 .8 .5 0 0 2/3 1/3
Without using any software package, find P100 approximately

(b) 0 2/3 1/3 .2 .5 0 0 1/3 0 2/3 .8 .5 0 0 2/3 1/3 0 0 0 o .5 0 0 1 .5
Step by Step Solution
There are 3 Steps involved in it
Get step-by-step solutions from verified subject matter experts
