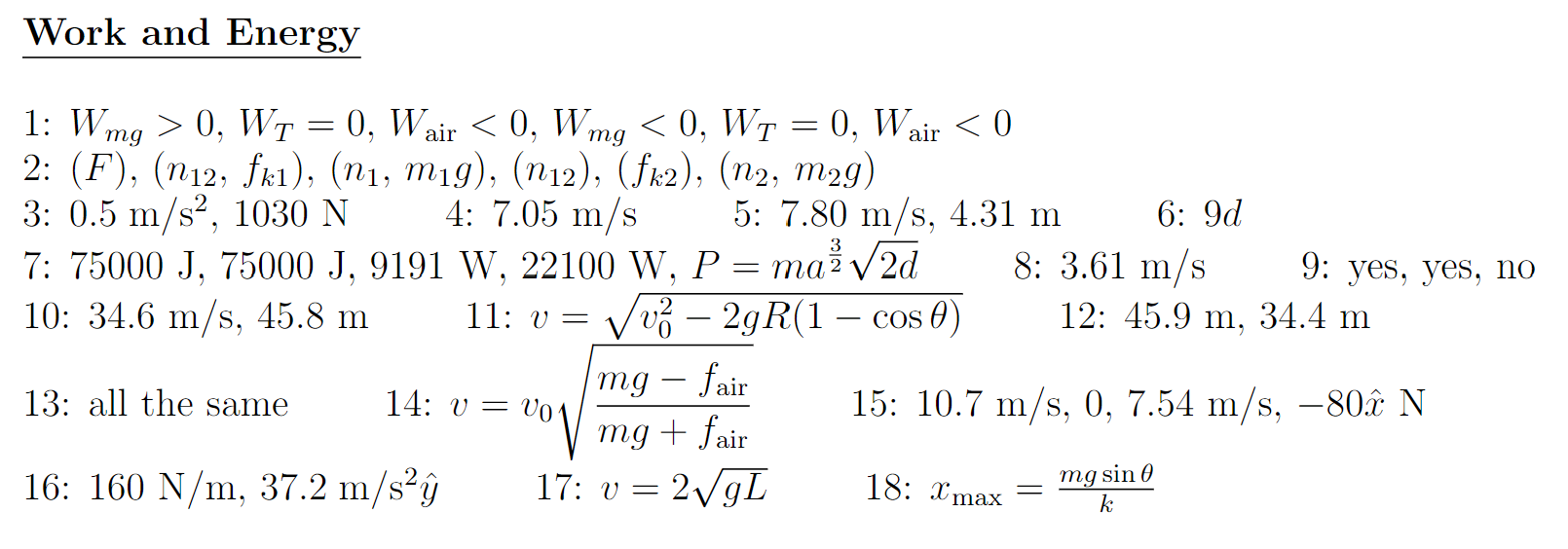
Question: Work and Energy 1: Wmg > 0, WT = 0, Wair Work and Energy 1: > O, 114=0, < O, < O, = O, walr



Work and Energy 1: Wmg > 0, WT = 0, Wair
Work and Energy 1: > O, 114=0, < O, < O, = O, walr 2: (F), (nn, fkl), (Til, Tilly), (nn), (fk2), (Ti2, Thug) 3: 0.5 III/' 1030 N 4: 7.05 Ill/s 5: 7.80 m/s, 7: 75000 J, 75000 J, 9191 W, 22100 W, P = 6: 911 4.31 8: 3.61 m/s 9: yes, yes, no 10: 16: 34.6 m/s, 45.8 m 11: v 2 - 2gR(1 - 0) 12: m, 34.4 m all the 14: v mg fair mg + fmr 160 N/ m, 37.2 111//s2!) 15: 10.7 m/s, O, 7.54 m/s, -801* N mg sin 0 18: :rmax
Step by Step Solution
There are 3 Steps involved in it
1 Expert Approved Answer
Step: 1 Unlock
Question Has Been Solved by an Expert!
Get step-by-step solutions from verified subject matter experts
Step: 2 Unlock
Step: 3 Unlock
