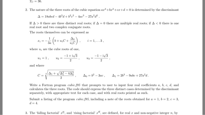
Question: Write a fortran program that can sovle any cubic equation rc = 36 2. The nature of the three roots of the cubic equation a
Write a fortran program that can sovle any cubic equation rc = 36 2. The nature of the three roots of the cubic equation a r3+ br2 +cr+d 0 is deterinned by the discriminant If > 0 there are three distinct real roots, if = 0 there are multiple real roots, if
Step by Step Solution
There are 3 Steps involved in it
Get step-by-step solutions from verified subject matter experts
