Question: Write a Java program called hw6_2.java that implements the Depth -First Search ( D FS) algorithm using a stack and a mark array. Input format
Write a Java program called hw6_2.java that implements the Depth-First Search (DFS) algorithm using a stack and a mark array.
Input format: This is a sample input from a user.
| 3 2 0 1 1 2 |
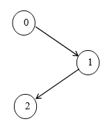
The first line (= 3 in the example) indicates that there are three vertices in the graph. For the homework, you can assume that the first vertex starts from the number 0. The second line (= 2 in the example) represents the number of edges, and following two lines are the edge information. This is the graph with the input information.

Sample Run 0: Assume that the user typed the following lines
3
2
0 1
1 2
This is the correct output. Your program should display the mark array of DFS. For the problem, you can assume that the starting vertex is always 0. And also, you can assume that the graph is connected.
Mark[0]:1
Mark[1]:2
Mark[2]:3
Sample Run 1: Assume that the user typed the following lines
5
6
0 1
0 2
0 3
1 3
2 3
3 4
This is the correct output.
Mark[0]:1
Mark[1]:2
Mark[2]:5
Mark[3]:3
Mark[4]:4
Sample Run 2: Assume that the user typed the following lines
5
6
0 1
0 2
0 3
1 4
2 3
3 4
This is the correct output.
Mark[0]:1
Mark[1]:2
Mark[2]:4
Mark[3]:5
Mark[4]:3
1
Step by Step Solution
There are 3 Steps involved in it
Get step-by-step solutions from verified subject matter experts
