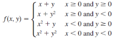
Question: Write a MATLAB program to evaluate a function f ( x, y ), for any two user-specified values x and y . The function f
- Write a MATLAB program to evaluate a function f(x, y), for any two user-specified values x and y. The function f(x, y) is defined as follows.

- Write a Matlab script that asks for a numeric grade and outputs its corresponding letter. For example, if the user input 98, the output is A.
Step by Step Solution
There are 3 Steps involved in it
1 Expert Approved Answer
Step: 1 Unlock
Question Has Been Solved by an Expert!
Get step-by-step solutions from verified subject matter experts
Step: 2 Unlock
Step: 3 Unlock
