Question: write a matlab script to solve the following problem.KEEP IN MIND THAT YOU HAVE TO FOLLOW PROCEDURE (dracy friction should be calculated usin an iteration
write a matlab script to solve the following problem.KEEP IN MIND THAT YOU HAVE TO FOLLOW PROCEDURE (dracy friction should be calculated usin an iteration method such as fixed point iteration,newton or secant method etc)
Water is to be delivered to an irrigation system from a source situated at 70 feet away. If a cast iron pipe with diameter D = 2 inches is used for the purpose, calculate and plot the pressure drop in the system for the following flow rates: Q = 1 - 40 gallons per minutes.
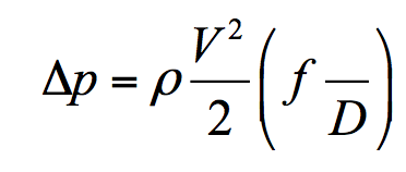
The pressure drop is calculate d by:

where the density of water is .

Water kinematic viscosity is .

The pipe roughness is .

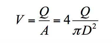
The velocity is given by:

The Reynolds number is calculated by:

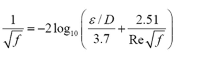
Darcy friction factor is calculated by the following implicit formula:

Procedures:
Identify all constants.
Set up a loop to cover all flow rates
Calculate the required explicit variables such as velocity, Reynolds number, etc.
Calculate Darcy friction factor using an iterative method ,SUCH AS FIXED POINT ITERATION METHOD,NEWTON,SECANT
Calculate the pressure drop and store the results in a vector.
Plot the results of the pressure drop [feet of water] as function of flow rate in [gallon per minute]
Remarks:
Convert all lengths to feet
Convert gallon per minute into foot cube per minute per the following: 1 gpm = 0.0022280092272 ft3/second
Convert the final answers from pound per square foot to feet of water per the following: 1 lb/ft2 = 0.016018463451 ft-H2O
The solution should match the following results:

D 2 2
Step by Step Solution
There are 3 Steps involved in it
Get step-by-step solutions from verified subject matter experts
