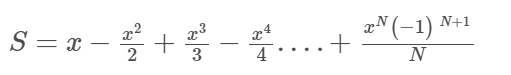
Question: Write a program in python to compute the following sum for x >= 0: Both N and x are provided as input to the program.
Write a program in python to compute the following sum for x >= 0:

Both N and x are provided as input to the program. N is a positive integer, while x is a real positive number.
For example, an input of x=1 and n=4 would lead to an output s=0.5833333333333333
Hint: Add repeatedly the terms of the sum one at a time.
N I+x (i) wiz t - + - x =S
Step by Step Solution
There are 3 Steps involved in it
Get step-by-step solutions from verified subject matter experts
