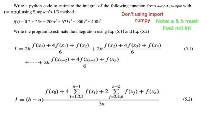
Question: Write a python code to estimate the integral of the following function from a=input, b=input with n=input using Simpson's 1/3 method. Don't using import f(x)
Write a python code to estimate the integral of the following function from a=input, b=input with n=input using Simpson's 1/3 method. Don't using import f(x) = 0.2 + 25x 200x + 675x? - 900x* + 400x numpy Note: a &b must float not int Write the program to estimate the integration using Eq. (5.1) and Eq. (5.2) (5.1) I= 2n f(x0) +45(X1) + S(x2) (.x2)+48 (23) + S(x4) + 2h 6 6 +...+2h S(Xn-2) +45 (XR-1) + S (xx) 6 R-1 (x0) +4 f(x) +2 S(x) + f(x) i=1,3,5 1 = (b-a) j=2,4,6 3n (5.2)
Step by Step Solution
There are 3 Steps involved in it
Get step-by-step solutions from verified subject matter experts
