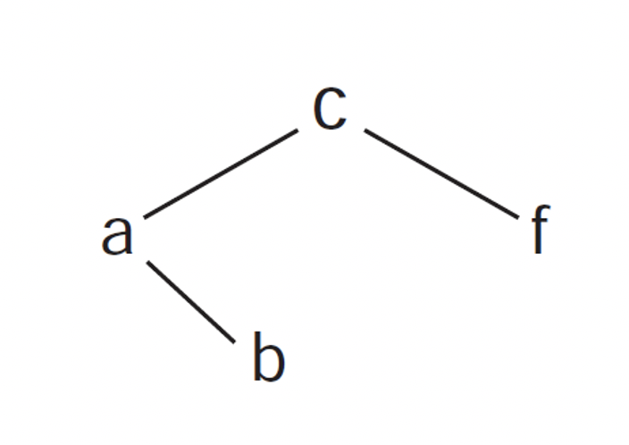
Question: Write a Scheme list representation for the binary search tree shown below and explain it step by step a b
- Write a Scheme list representation for the binary search tree shown below and explain it step by step

a b
Step by Step Solution
There are 3 Steps involved in it
1 Expert Approved Answer
Step: 1 Unlock
Question Has Been Solved by an Expert!
Get step-by-step solutions from verified subject matter experts
Step: 2 Unlock
Step: 3 Unlock
