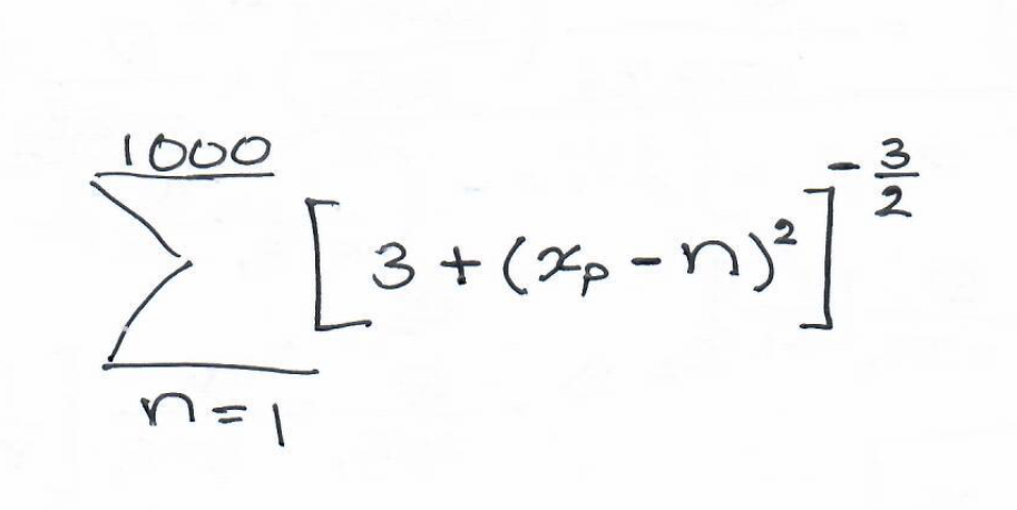
Question: Write a simple code in MATLAB to execute the formula shown below Please note don't worry about xp, it could be any value. n=11000[3+(xpn)2]23
Write a simple code in MATLAB to execute the formula shown below Please note don't worry about xp, it could be any value.
n=11000[3+(xpn)2]23
Step by Step Solution
There are 3 Steps involved in it
Get step-by-step solutions from verified subject matter experts
