Question: Write an 8 0 8 6 assembly program that evaluates: ( 3 ) The result should be stored in a variable and printed when your
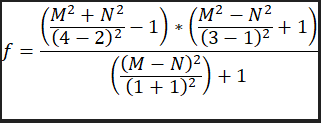
Write an assembly program that evaluates:
The result should be stored in a variable and printed when your program is finished.
M
N
use MOV, ADD, SUB, MUL, DIV, INC, DEC, SHL SHR PUSH, POP, Print, Variable
Step by Step Solution
There are 3 Steps involved in it
1 Expert Approved Answer
Step: 1 Unlock
Question Has Been Solved by an Expert!
Get step-by-step solutions from verified subject matter experts
Step: 2 Unlock
Step: 3 Unlock
