Question: Write an equation for a rational function with the given characteristics. Vertical asymptotes at a: = 2 and a: = 4, mintercepts at (6, 0)






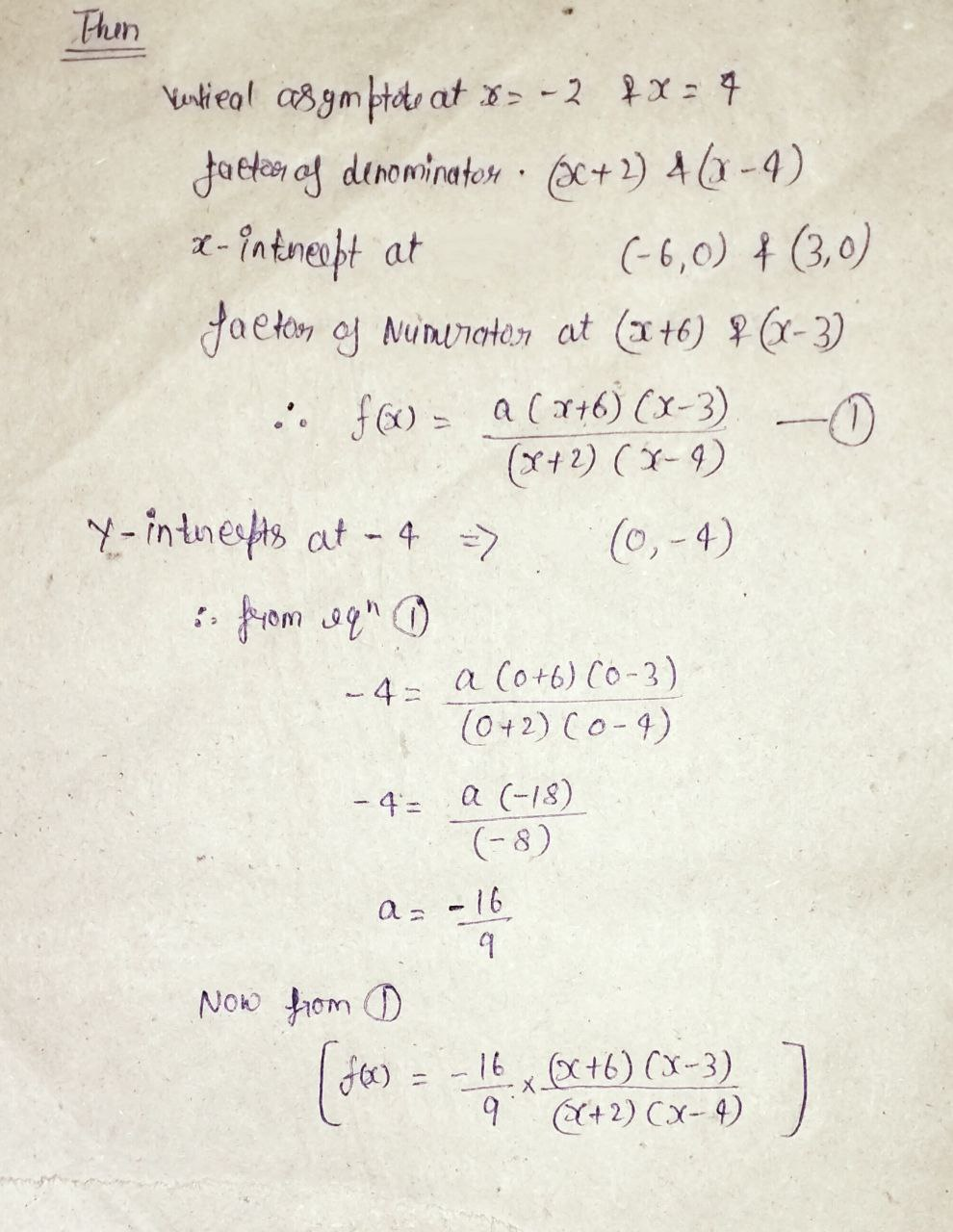
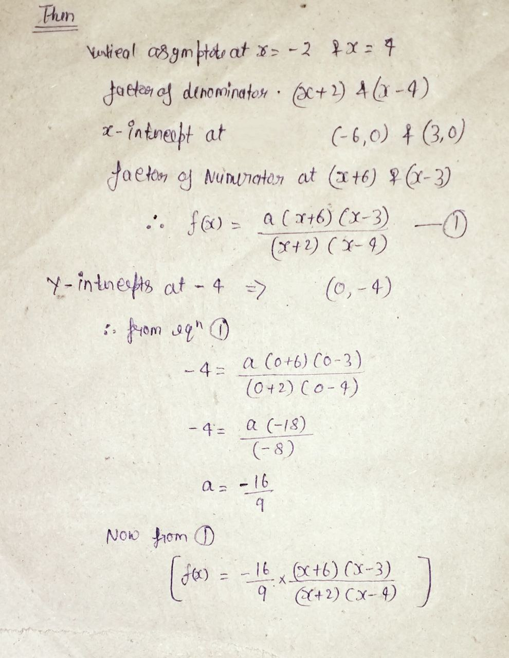
Write an equation for a rational function with the given characteristics. Vertical asymptotes at a: = 2 and a: = 4, mintercepts at (6, 0) and (3,0), horizontal asymptote at y = 4 Enclose numerators and denominators in parentheses. For example, (a b)/ (1 + n). Include a multiplication sign between symbols. For example, a * :13. Hm): I IE Given: vertical asymptote x = - 2 and 1 = 4 xx - intercepts at (- 6, 0) and ( 3, 0) here X = - 6 and x= 3 . . jaetons of vintical asymptote [ SC - (-2)] [8-4] => (x+2) , ( 3( -4 ) (2 - (-6)] , (2-3) = ) ( or+6 ) , ( x - 3 ) horizontal asymptote y = - 4 . The suquired rational expression y => fox) = horizontal asymptotex x- intercepts factors cy vertical asymptote Now the stational expoussion, y = = 4 ( xx +6) ( x - 3 ) (C + 2 ) ( xX - 4 ) OR ( 4 - 4 (x+6) ( x- 3 ) (x+2) ( x- 4)Then vitieal asymptote at *= - 2 RX = 4 factor of denominator . ( ac+ 2 ) 4 ( x-4 ) * - intercept at ( - 6 , 0) $ ( 3, 0 ) factor of Numerator at ( 21 +6) $ ( X- 3) .. foo = a (x+6 ) (x- 3) - 1 ( xe + 2 ) ( 3 - 4 ) Y - intercepts at - 4 = > (0 , - 4 ) :. from eqn (1) - 4= a (0+6) Co-3) (0+2 ) (0- 4) - 4'= a (-18) (-8) a = -16 9 NOW from (D ( fox ) = -16 (oct6 ) ( X - 3 ) 9 ( X+ 2 ) (X - 4)
Step by Step Solution
There are 3 Steps involved in it
Get step-by-step solutions from verified subject matter experts
