Question: write an ( introduction). Case 2: Chapter 5 - Fraud (15 marks) Heirloom Photos sells a $900 photography plan to rural customers using a commissioned

write an (introduction). write an ( introduction). Case 2: Chapter 5 -
write an ( introduction). Case 2: Chapter 5 -
write an ( introduction). Case 2: Chapter 5 -
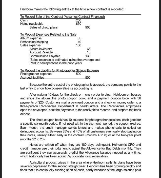
Case 2: Chapter 5 - Fraud (15 marks) Heirloom Photos sells a $900 photography plan to rural customers using a commissioned sales force. Rather than pay the price up front, most customers pay $250 down and make 36 monthly payments of $25 each. The $900 plan includes the following: 1. A coupon book good for one free sitting every six months for the next five years (10 sittings) at any Heirloom approved photo studio. The customer receives one free 11-by- 14-inch black-and-white print. Additional photos or color upgrades can be purchased at the photographer's retail prices. 2. To preserve the 11-by-14-inch photos, the family name is embossed in 24-carat gold on a leather-bound photo album. The embossed leather album, with a retail value of $300, costs Heirloom $75. Each sitting and free 11-by-14-inch print, with a retail value of $150, costs Heirloom only $50 because photographers are given exclusive nights to all Heirloom customers in a geographic region and have the opportunity to offer customers up-grades to color and/or more pictures. The commissioned sales staff is paid on the 10th of each month, based upon the prior month's sales. The commission rates are as follows: Number of plans sold Commission Quantity bonus Fewer than 100 S100 per plan 101 to 200 $125 per plan On sale of plan #101, $2,500 is paid to cover the extra $25 on the first 100 sales More than 200 $150 per plan On sale of plan #201, $5,000 is paid to cover the extra $25 on the first 200 sales Over 70% of all agents sell at least 101 plans per year, 40% sell over 200. There is a strong sales surge before year-end as customers purchase plans to give as holiday gifts. About 67% of all agents reach their highest incentive level in late November or December. Heirloom treats the sales staff and the photographers as independent contractors and does not withhold any income or payroll taxes on amounts paid to them. Salespeople send Heirloom's accounting department the order form, the total payment or the down payment, and the signed note for $650 if the customer finances the transaction. Often, the payment is a hand-written money order. Because many customers live in rural areas, the return address is often a Post Office box, and some customers do not have phones. Heirloom does not perform any credit checks of customers. 250 900 130 Heirloom makes the following entries at the time a new contract is recorded: To Record Sale of the Contract (Assumes Contract Financed) Cash Notes receivable 650 Sales of photo plans To Record Expenses Related to the Sale Album expense 65 Embossing/shipping 10 Sales expense 130 Album inventory 65 Account Payable 10 Commissions Payable (Sales expense is estimated using the average cost Paid to salespersons in the prior year) To Record the Liability for Photographer Sittings Expense Photographer expense 500 Accrued liabilities 500 Because the entire cost of the photographer is accrued, the company points to the last entry to show how conservative its accounting is. After waiting 10 days for the check or money order to clear, Heirloom embosses and ships the album, the photo coupon book, and a payment coupon book with 36 payments of $25. Customers mail a payment coupon and a check or money order to a three-person Receivables Department at headquarters. The Receivables employees open the envelopes, post the payments to the receivables records, and prepare the bank deposit The photo coupon book has 10 coupons for photographer sessions, each good for a specific six-month period. If not used within the six-month period, the coupon expires. Each month, the credit manager sends letters and makes phone calls to collect on delinquent accounts. Between 35% and 40% of all customers eventually stop paying on their notes, usually either early in the contract (months 4 to 8) or at the two-year point (months 22 to 26). Notes are written off when they are 180 days delinquent. Heirloom's CFO and credit manager use their judgment to adjust the Allowance for Bad Debts monthly. They are confident they can accurately predict the Allowance balance needed at any time, which historically has been about 5% of outstanding receivables. Agricultural product prices in the area where Heirloom sells its plans have been severely depressed for the second straight year. Heirloom has been growing quickly and finds that it is continually running short of cash, partly because of the large salaries paid to the two equal owners and their wives. (The wives each receive $100,000 to serve as the treasurer and the secretary, very little, if any, time is required in these duties.) In addition, Heirloom spent large amounts of cash to buy its headquarters, equipment and furnishings, and expensive automobiles for the two owners, their wives, and the four vice presidents. Figure 2: Internal and External Relationships at Heirloom Photo Accounting Employees Photogrophers Sales Force Heirloom Bank Management Customers Heirloom needs to borrow from a local bank for corporate short-term operating purposes. It is willing to pledge unpaid contracts as collateral for a loan. A local bank president is willing to lend Heirloom up to 70% of the value of notes receivable that are not more than 60 days overdue. Heirloom must also provide, by the fifth day of each month, a note receivable aging list for the Figure 2: Internal and External Relationships at Heirloom Photos preceding month and a calculation showing the maximum amount Heirloom may borrow under the agreement

Step by Step Solution

There are 3 Steps involved in it

1 Expert Approved Answer
Step: 1 Unlock blur-text-image
Question Has Been Solved by an Expert!

Get step-by-step solutions from verified subject matter experts

Step: 2 Unlock
Step: 3 Unlock

Students Have Also Explored These Related General Management Questions!