Question: Write C program which takes a positive integer n as input and produces as output the sum of the alternating series: using the for loop.
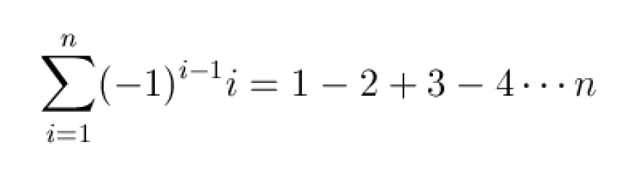
Write C program which takes a positive integer n as input and produces as output the sum of the alternating series:

using the for loop. For example, if n = 5, then the output should be 3, since 1 - 2 + 3 - 4 + 5 = 3.
(-1)-li = 1 2 + 3 4... 1=1
Step by Step Solution
There are 3 Steps involved in it
Get step-by-step solutions from verified subject matter experts
