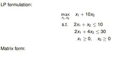
Question: write matrix form please. show steps LP formulation: Matrix form: max X1 + 10x x1,x s.t. 2x1 + x2 10 2x1 + 4x2 30 X20,
write matrix form please. show steps
Step by Step Solution
There are 3 Steps involved in it
1 Expert Approved Answer
Step: 1 Unlock
Question Has Been Solved by an Expert!
Get step-by-step solutions from verified subject matter experts
Step: 2 Unlock
Step: 3 Unlock
