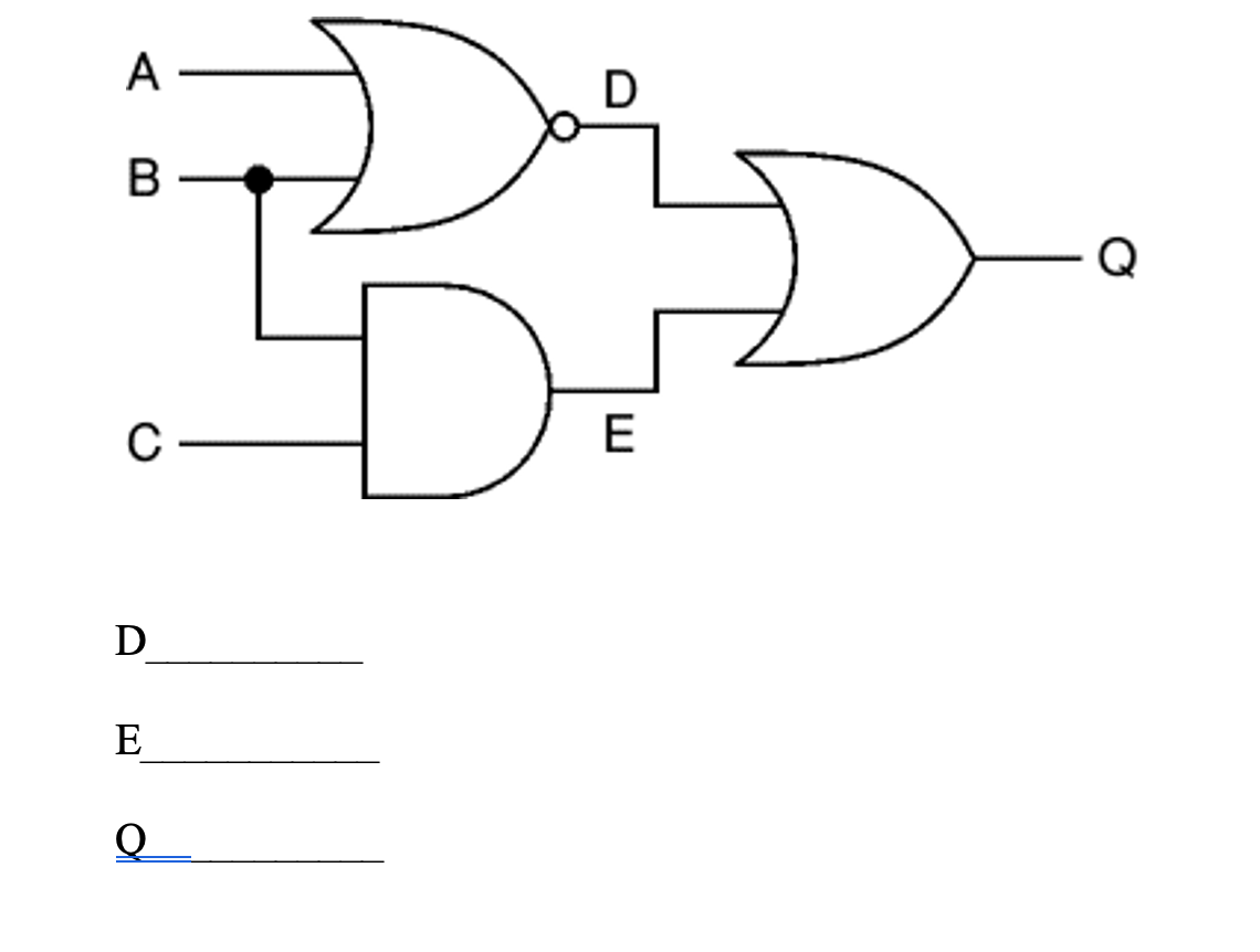
Question: Write the resulting logic function at points D, E and Q in terms of A, B and C A B E D E 0
Write the resulting logic function at points D, E and Q in terms of A, B and C

A B E D E 0
Step by Step Solution
There are 3 Steps involved in it
1 Expert Approved Answer
Step: 1 Unlock
Question Has Been Solved by an Expert!
Get step-by-step solutions from verified subject matter experts
Step: 2 Unlock
Step: 3 Unlock
