Question: X 1: Solve the system using Gaussian Elimination with Back Substitution or Gauss - Jordan Elimination. (X1 + 3x2 = 11 (3x1 + X2 =


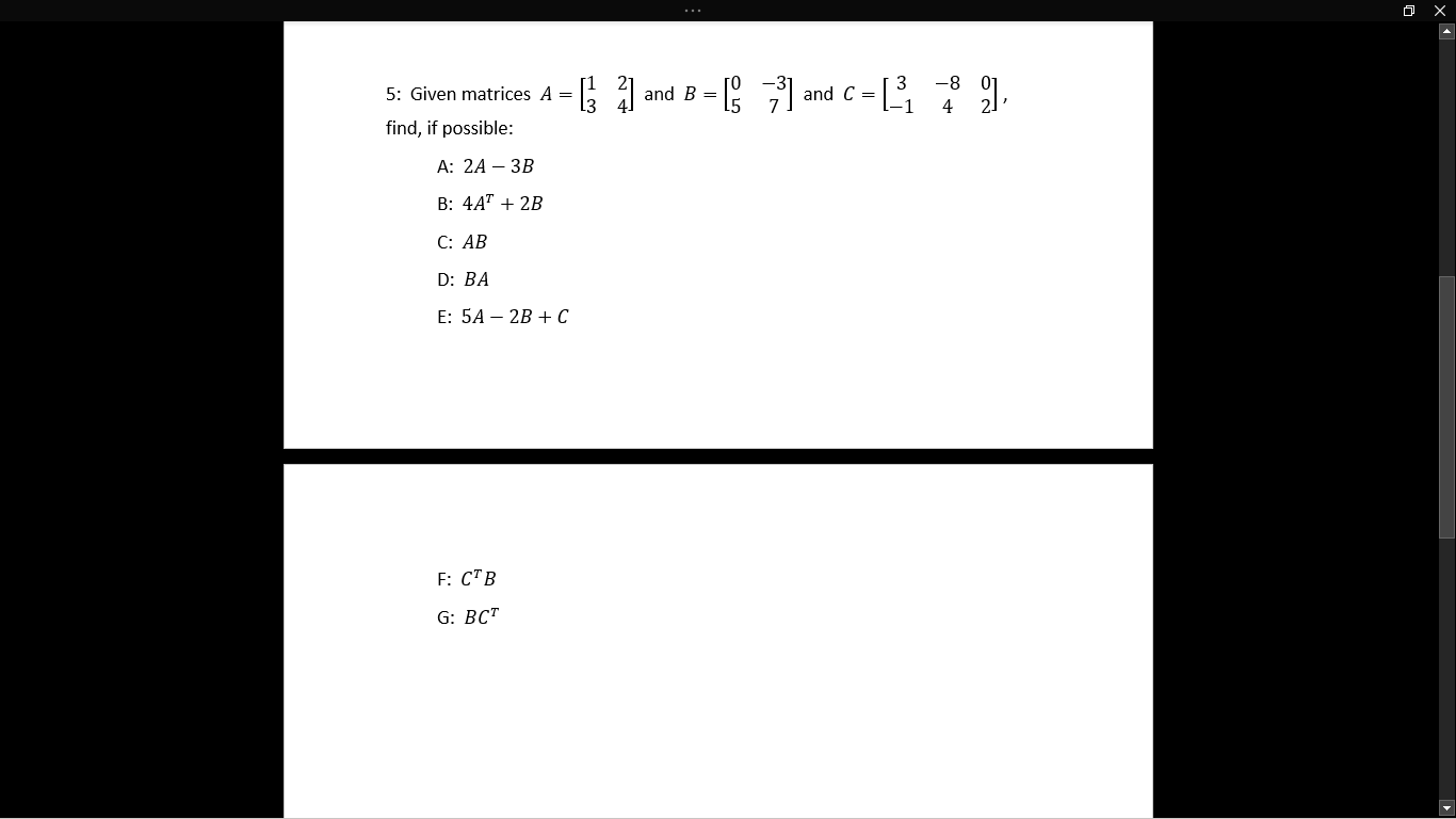
X 1: Solve the system using Gaussian Elimination with Back Substitution or Gauss - Jordan Elimination. (X1 + 3x2 = 11 (3x1 + X2 = 9 2: Solve the system using Gaussian Elimination with Back Substitution or Gauss - Jordan Elimination. X1 - 3x3 = -2 3x1 + X2 - 2x3 = 5 2x1 + 2x2 + X3 = 4 3: Solve the system using Gaussian Elimination with Back Substitution or Gauss - Jordan Elimination. 2x1 + 3x3 = 3 4x1 - 3x2 + 7x3 = 5 8x1 - 9X2 + 15x3 = 10 4: Solve the system using Gaussian Elimination with Back Substitution or Gauss - Jordan Elimination 4x1 + 12x2 - 7x3 - 20x4 = 22 3x1 + 9x2 - 5x3 - 28x4 = 30 5: Given matrices A = 3 41 and B = [$ 71 and c = [1 4 2. find, if possible: A: 2A - 3BX 5: Given matrices A = [3 ) and B = [? "] and c = [3 43 find, if possible: A: 2A - 3B B: 4AT + 2B C: AB D: BA E: 5A - 2B + C F: CTB G: BCT
Step by Step Solution
There are 3 Steps involved in it
Get step-by-step solutions from verified subject matter experts
