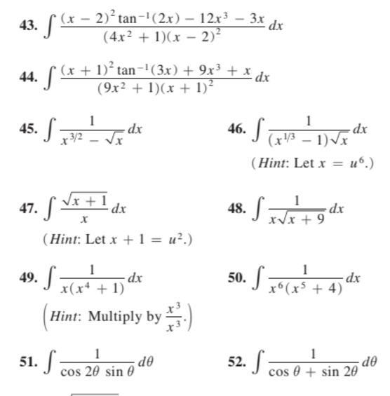
Question: ( x - 2 ) 2 t a n - 1 ( 2 x ) - 1 2 x 3 - 3 x ( 4
Step by Step Solution
There are 3 Steps involved in it
1 Expert Approved Answer
Step: 1 Unlock
Question Has Been Solved by an Expert!
Get step-by-step solutions from verified subject matter experts
Step: 2 Unlock
Step: 3 Unlock
