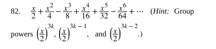
Question: , ( x ) / ( 2 ) + ( x ^ ( 2 ) ) / ( 4 ) - ( x ^ (
xxxxxxcdotsxkxk and :xk In the following exercises, express the sum of each power series in terms of geometric series, and then express the sum as a rational function.
Step by Step Solution
There are 3 Steps involved in it
1 Expert Approved Answer
Step: 1 Unlock
Question Has Been Solved by an Expert!
Get step-by-step solutions from verified subject matter experts
Step: 2 Unlock
Step: 3 Unlock
