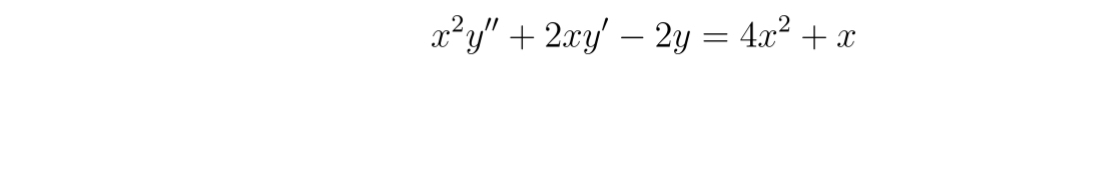
Question: x 2 y ' ' 2 x y ' - 2 y = 4 x 2 x Classify differential equation and solve for y (
Classify differential equation and solve for yx
Step by Step Solution
There are 3 Steps involved in it
1 Expert Approved Answer
Step: 1 Unlock
Question Has Been Solved by an Expert!
Get step-by-step solutions from verified subject matter experts
Step: 2 Unlock
Step: 3 Unlock
