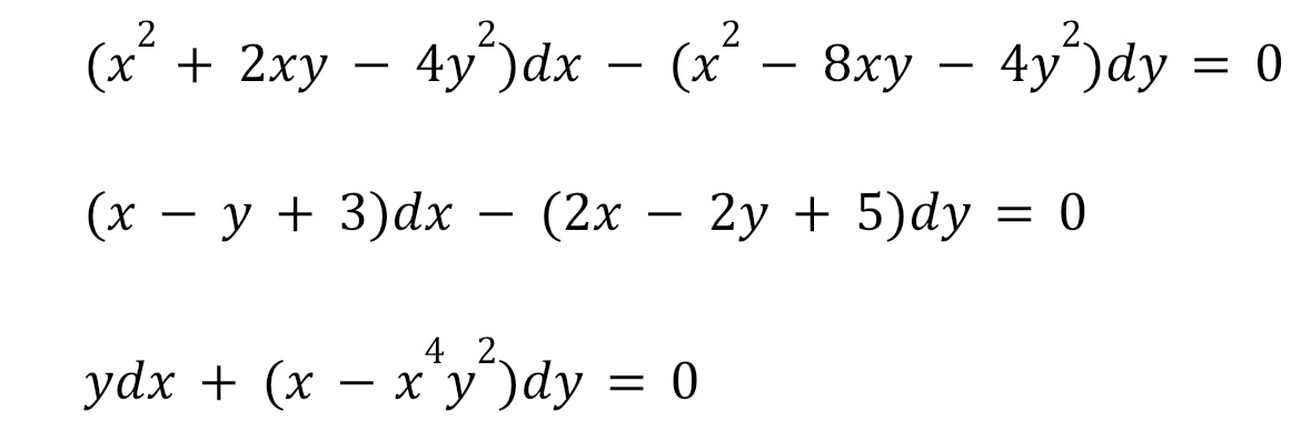
Question: (x + 2xy - 4y ) dx - (x - 8xy - 4y ) dy = 0 (x - y + 3) dx - (2x

Step by Step Solution
There are 3 Steps involved in it
1 Expert Approved Answer
Step: 1 Unlock
Question Has Been Solved by an Expert!
Get step-by-step solutions from verified subject matter experts
Step: 2 Unlock
Step: 3 Unlock
