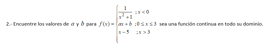
Question: :x 3 2.- Encuentre los valores de a y b para f (x) ax + b S x S 3 sea una funci6n continua en

:x 3
2.- Encuentre los valores de a y b para f (x) ax + b S x S 3 sea una funci6n continua en todo su dominio. ;x>3
Step by Step Solution
There are 3 Steps involved in it
Get step-by-step solutions from verified subject matter experts
