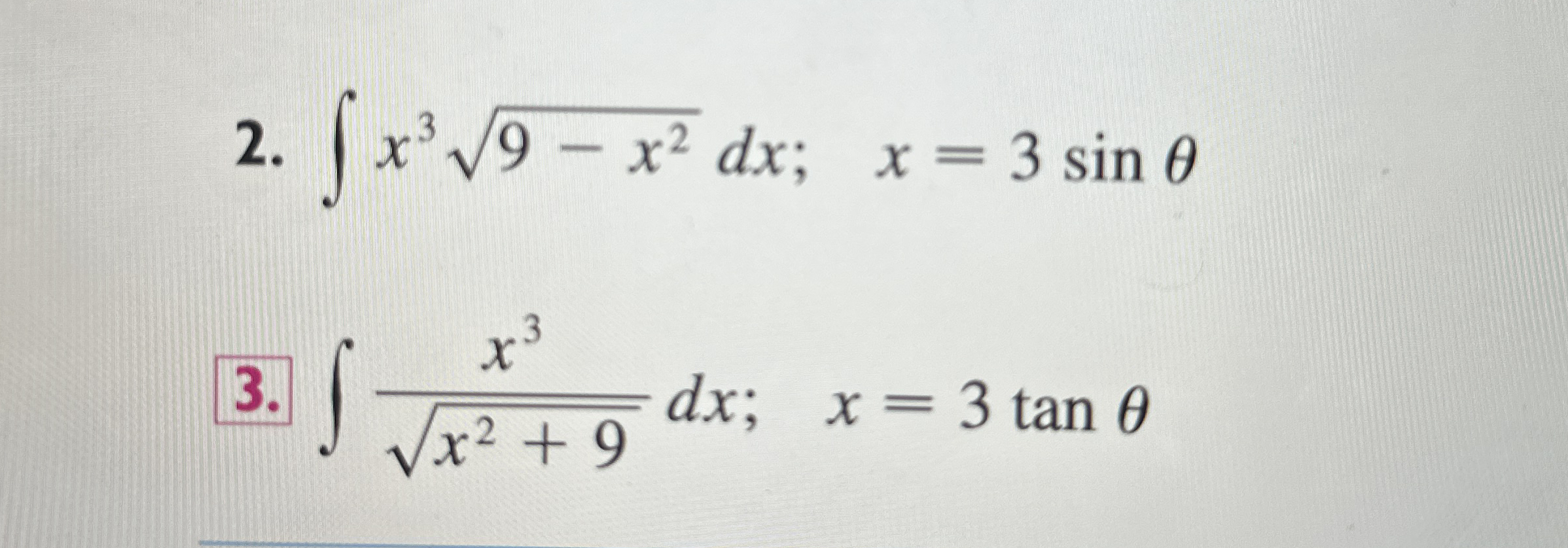
Question: x 3 9 - x 2 2 d x ; , x = 3 s i n x 3 x 2 9 2 d x
;
;
calculus
Step by Step Solution
There are 3 Steps involved in it
1 Expert Approved Answer
Step: 1 Unlock
Question Has Been Solved by an Expert!
Get step-by-step solutions from verified subject matter experts
Step: 2 Unlock
Step: 3 Unlock
