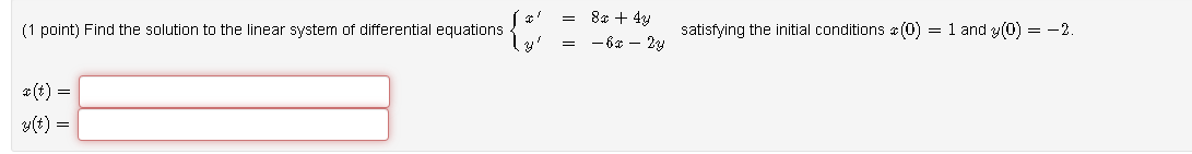
Question: x' = 8x + 4 (1 point) Find the solution to the linear system of differential equations { I 8 y? satisfying the initial conditions

Step by Step Solution
There are 3 Steps involved in it
1 Expert Approved Answer
Step: 1 Unlock
Question Has Been Solved by an Expert!
Get step-by-step solutions from verified subject matter experts
Step: 2 Unlock
Step: 3 Unlock
