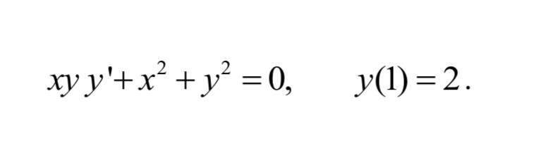
Question: x y y ' + x 2 + y 2 = 0 , y ( 1 ) = 2 . Solve this first order homogenous
Solve this first order homogenous differential equation using the given inital value
Step by Step Solution
There are 3 Steps involved in it
1 Expert Approved Answer
Step: 1 Unlock
Question Has Been Solved by an Expert!
Get step-by-step solutions from verified subject matter experts
Step: 2 Unlock
Step: 3 Unlock
