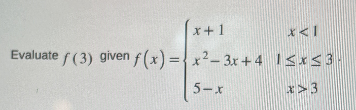
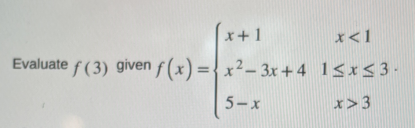
Question: x+1 Evaluate f ( 3) given f (x ) = x2 - 3x +4 15x x23x+4 'i Evaluate f (3) given f (x) =


x+1 Evaluate f ( 3) given f (x ) = x2 - 3x +4 15x
x23x+4 'i Evaluate f (3) given f (x) =
Step by Step Solution
There are 3 Steps involved in it
Get step-by-step solutions from verified subject matter experts
