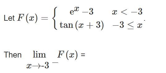
Question: x-3 Let - tan@ + 3) Then lim


x-3
Let - tan@ + 3) Then lim
Step by Step Solution
There are 3 Steps involved in it
Get step-by-step solutions from verified subject matter experts


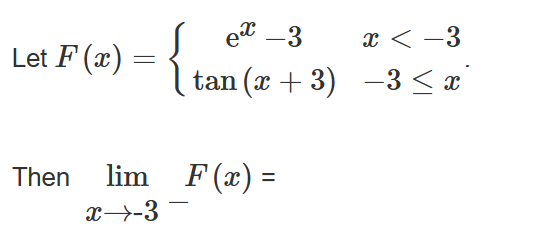
x-3
Let - tan@ + 3) Then lim
There are 3 Steps involved in it
Get step-by-step solutions from verified subject matter experts