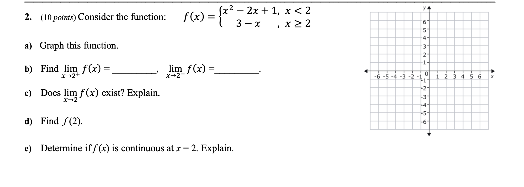
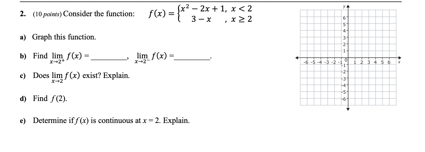
Question: y 4 2. (10 points) Consider the function: f (x) = x - 2x+ 1, x 2. a) b) c) d) e) (10 points) Consider

2. a) b) c) d) e) (10 points) Consider the function: Graph
this function. Find lim f (x) x 22 lim f (x) Does

y 4 2. (10 points) Consider the function: f (x) = x - 2x+ 1, x

2. a) b) c) d) e) (10 points) Consider the function: Graph this function. Find lim f (x) x 22 lim f (x) Does lim f (x) exist? Explain. Find f (2). Determine if f (x) is continuous at x = 2. Explain.

Step by Step Solution

There are 3 Steps involved in it

1 Expert Approved Answer
Step: 1 Unlock blur-text-image
Question Has Been Solved by an Expert!

Get step-by-step solutions from verified subject matter experts

Step: 2 Unlock
Step: 3 Unlock

Students Have Also Explored These Related Mathematics Questions!