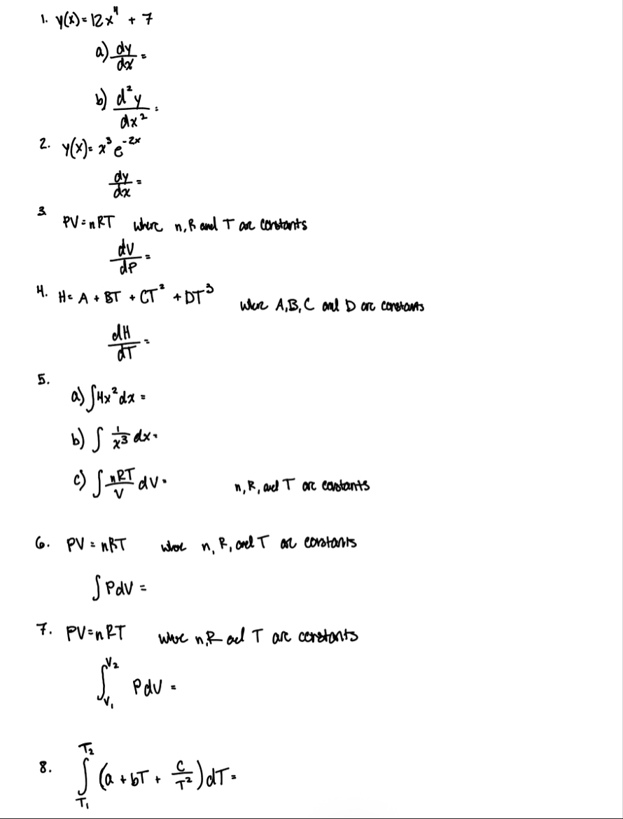
Question: y ( x ) = 1 2 x 4 7 a ) d y d x = b ) d 2 y d x 2
a
b :
where and ar constants
wher and are constants
a
b
c and ar contants
whel acel ar eostants
whe ad are ceretants
Step by Step Solution
There are 3 Steps involved in it
1 Expert Approved Answer
Step: 1 Unlock
Question Has Been Solved by an Expert!
Get step-by-step solutions from verified subject matter experts
Step: 2 Unlock
Step: 3 Unlock
