Question: yes,periodic solution Here is the theorem used in lecture notes 7. Using the appropriate Theorem from lectures, show that the equation T + (x -

 yes,periodic solution Here is the theorem used in lecture notes 7.

Using the appropriate Theorem from lectures, show that the equation T +

yes,periodic solution

(x - 1)i +2 +10, has a unique periodic solution if x

> 0. 2 marks] 8. For small amplitudes the motion of a

soft spring is described by Dufling's equation: where (t) is the displacement,

y(t) is the velocity and v is the damping coefficient. Investigate the

stability of the equilibrium points for all real valued v. Determine and

Here is the theorem used in lecture notes

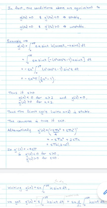
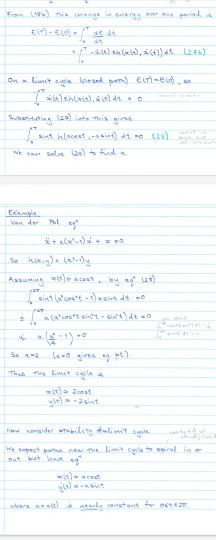
7. Using the appropriate Theorem from lectures, show that the equation T + (x - 1)i +2 +10, has a unique periodic solution if x > 0. 2 marks] 8. For small amplitudes the motion of a soft spring is described by Dufling's equation: where (t) is the displacement, y(t) is the velocity and v is the damping coefficient. Investigate the stability of the equilibrium points for all real valued v. Determine and classify any bifurcation points, and draw, and label, a bifurcation diagram to illustrate your results (6 marks] 7. Using the appropriate Theorem from lectures, show that the equation T + (x - 1)i +2 +10, has a unique periodic solution if x > 0. 2 marks] 8. For small amplitudes the motion of a soft spring is described by Dufling's equation: where (t) is the displacement, y(t) is the velocity and v is the damping coefficient. Investigate the stability of the equilibrium points for all real valued v. Determine and classify any bifurcation points, and draw, and label, a bifurcation diagram to illustrate your results (6 marks] convinetto | Averaging methods Recall x = 0 (25) This has sol's alt) Tacost 7 (25) zlt) = y(t) = -a sint J is ciroles centred on the origin Now we consider * + ghlac, 3) + x = 0, (26) for Elka1 negating Housing) The phase paths will no longer be circles (in general) - we expect unsteady spirals and perhaps a lima't cycle. su Suppose k(0,0)=0 so that (0,0) is an eq. pt, and suppose that (26) has a limit cycle. For small &, we expect a sol" of (24) of the form (25) will be a good approximation to the lima't cycle. * (t) = y(t) = -a sint} (27) some for and the period T = 2TT. Recall from (18) the total s E = 1 (2)' + fx dx. - 1(2)? + 12+ From (186) the change in energy period E(T- E(0) = 1 de dt 1-3 (t) en (x64), 3(t)) dt. (275) Over One at EC) - Edt th), (+) (216) On Lintas tiesak pema) ELTIES) ") kw),160410 Statuting (2) inte. This gives mint hlocest) 4 (2) Ver NL a Calcast.dt. xit) cast and 21 It follows that the energy changes for Ost salt, by (276) (27) - Elo) - f -yehla,y) dt a sint hlacost, -asint) at TE energy gaine SO 1 on the limit cycle let asa. gla.) -0. For a stable limit cycle. energy is gained in the interior e acao, energy is lost in the exterior i asa.. Thus for some so limit eyele g(a) >o for a E(90-8, as) g(a) gbalco for a (@-8.co), rint g(a) so for ae (ao, ats). ext. to In fact, the conditions above are equivalent g(6) & g' (as) co stable, g@) =0 + g(20) > > unistable In fact, the conditions above are equivalent to g(@o) 20 #g'(as) o unstable. Example CD g(a) - sea sint hlacost, -asint) at {a sint [-(acos't-1) asint] dt. -24?]. (a? cos?t-1) sindt at =-{TT (722-1). 11 for aO g() 0 Thus the limit cycle (with a 2) is stable. The converse is true if eco. Alternatively gi'(a) = (-Etrat + ETra?) =- ETa' + 2 Ella = Ella (2-a). So g' (2) = -4 ET go(2) 0 gi (2) >0 for eso frida Writing gla) - safnsint dt, we get gisa) - ef h 2T hsint at tead hsint at U Lecture 13 14.... =eta" + 2 Ela = ETTa(2-a). So g' (2) = -4 ET g'(a) 0 for eso for & O. Writing gla) = ca fa esinedt, get gi(a) -1 2 1 hsint at + ad fhsint at De rute 21 2T - da o parte = 2T ah at ah sint at bring derivati Tea Using an ah ax + ah ay at axat ay y 26 s-asintan -a cost an a ay ah ah ax + ahay da . 2 . ayaa = cost asintah . ay costsint terms Car g'(a) = -ca ah dt. ay Example CD hix,y) = (ac-1) y von der Falegn SO ak - 2-1 ay Now g' (2) = - 2 S (2cost) P-7 dt = - 4TE as before 7. Using the appropriate Theorem from lectures, show that the equation T + (x - 1)i +2 +10, has a unique periodic solution if x > 0. 2 marks] 8. For small amplitudes the motion of a soft spring is described by Dufling's equation: where (t) is the displacement, y(t) is the velocity and v is the damping coefficient. Investigate the stability of the equilibrium points for all real valued v. Determine and classify any bifurcation points, and draw, and label, a bifurcation diagram to illustrate your results (6 marks] 7. Using the appropriate Theorem from lectures, show that the equation T + (x - 1)i +2 +10, has a unique periodic solution if x > 0. 2 marks] 8. For small amplitudes the motion of a soft spring is described by Dufling's equation: where (t) is the displacement, y(t) is the velocity and v is the damping coefficient. Investigate the stability of the equilibrium points for all real valued v. Determine and classify any bifurcation points, and draw, and label, a bifurcation diagram to illustrate your results (6 marks] convinetto | Averaging methods Recall x = 0 (25) This has sol's alt) Tacost 7 (25) zlt) = y(t) = -a sint J is ciroles centred on the origin Now we consider * + ghlac, 3) + x = 0, (26) for Elka1 negating Housing) The phase paths will no longer be circles (in general) - we expect unsteady spirals and perhaps a lima't cycle. su Suppose k(0,0)=0 so that (0,0) is an eq. pt, and suppose that (26) has a limit cycle. For small &, we expect a sol" of (24) of the form (25) will be a good approximation to the lima't cycle. * (t) = y(t) = -a sint} (27) some for and the period T = 2TT. Recall from (18) the total s E = 1 (2)' + fx dx. - 1(2)? + 12+ From (186) the change in energy period E(T- E(0) = 1 de dt 1-3 (t) en (x64), 3(t)) dt. (275) Over One at EC) - Edt th), (+) (216) On Lintas tiesak pema) ELTIES) ") kw),160410 Statuting (2) inte. This gives mint hlocest) 4 (2) Ver NL a Calcast.dt. xit) cast and 21 It follows that the energy changes for Ost salt, by (276) (27) - Elo) - f -yehla,y) dt a sint hlacost, -asint) at TE energy gaine SO 1 on the limit cycle let asa. gla.) -0. For a stable limit cycle. energy is gained in the interior e acao, energy is lost in the exterior i asa.. Thus for some so limit eyele g(a) >o for a E(90-8, as) g(a) gbalco for a (@-8.co), rint g(a) so for ae (ao, ats). ext. to In fact, the conditions above are equivalent g(6) & g' (as) co stable, g@) =0 + g(20) > > unistable In fact, the conditions above are equivalent to g(@o) 20 #g'(as) o unstable. Example CD g(a) - sea sint hlacost, -asint) at {a sint [-(acos't-1) asint] dt. -24?]. (a? cos?t-1) sindt at =-{TT (722-1). 11 for aO g() 0 Thus the limit cycle (with a 2) is stable. The converse is true if eco. Alternatively gi'(a) = (-Etrat + ETra?) =- ETa' + 2 Ella = Ella (2-a). So g' (2) = -4 ET go(2) 0 gi (2) >0 for eso frida Writing gla) - safnsint dt, we get gisa) - ef h 2T hsint at tead hsint at U Lecture 13 14.... =eta" + 2 Ela = ETTa(2-a). So g' (2) = -4 ET g'(a) 0 for eso for & O. Writing gla) = ca fa esinedt, get gi(a) -1 2 1 hsint at + ad fhsint at De rute 21 2T - da o parte = 2T ah at ah sint at bring derivati Tea Using an ah ax + ah ay at axat ay y 26 s-asintan -a cost an a ay ah ah ax + ahay da . 2 . ayaa = cost asintah . ay costsint terms Car g'(a) = -ca ah dt. ay Example CD hix,y) = (ac-1) y von der Falegn SO ak - 2-1 ay Now g' (2) = - 2 S (2cost) P-7 dt = - 4TE as before

Step by Step Solution

There are 3 Steps involved in it

1 Expert Approved Answer
Step: 1 Unlock blur-text-image
Question Has Been Solved by an Expert!

Get step-by-step solutions from verified subject matter experts

Step: 2 Unlock
Step: 3 Unlock

Students Have Also Explored These Related Accounting Questions!