Question: You are working as an analyst for a large cable company that offers bundles of channels all across the United States. One of the bundles
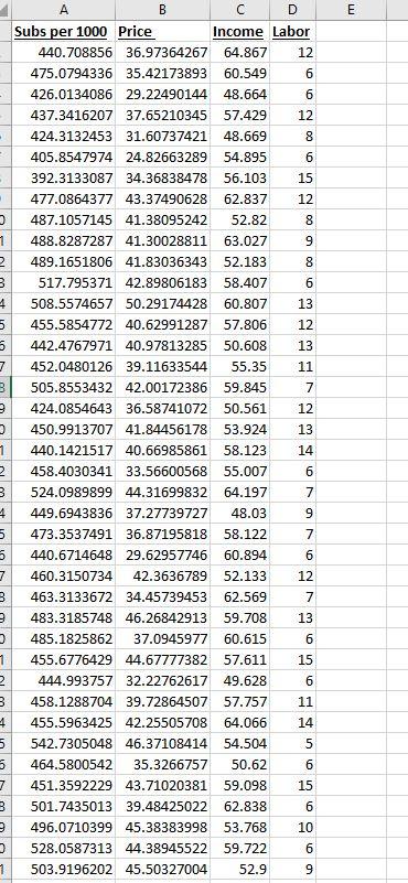
You are working as an analyst for a large cable company that offers bundles of channels all across the United States. One of the bundles is the basic package, which includes network channels along with a few other basic cable channels. You are interested in learning how the price of this basic package influences the rate of subscriptions in a market. You have data on subscriptions per 1,000 local residents, the price for the basic package, and average local household income. You also have data on local telecom labor costs per subscriber. You believe this last variable influences the local price but not subscriptions per se.
- Based on the data provided, write out an expression for the data-generating process for subscriptions per 1,000 local residents.
- Estimate the effect of basic package price on subscriptions per 1,000 local residents using OLS. Why might you distrust this result as being a causal effect?
C E - . 1 2 3 4 5 5 7 B 3 12 A B D Subs per 1000 Price Income Labor 440.708856 36.97364267 64.867 12 475.0794336 35.42173893 60.549 6 426.0134086 29.22490144 48.664 6 437.3416207 37.65210345 57.429 12 424.3132453 31.60737421 48.669 8 405.8547974 24.82663289 54.895 6 392.3133087 34.36838478 56.103 15 477.0864377 43.37490628 62.837 12 487.1057145 41.38095242 52.82 8 488.8287287 41.30028811 63.027 9 489.1651806 41.83036343 52.183 8 517.795371 42.89806183 58.407 6 508.5574657 50.29174428 60.807 13 455.5854772 40.62991287 57.806 12 442.4767971 40.97813285 50.608 13 452.0480126 39.11633544 55.35 11 505.8553432 42.00172386 59.845 7 424.0854643 36.58741072 50.561 450.9913707 41.84456178 53.924 13 440.1421517 40.66985861 58.123 14 458.4030341 33.56600568 55.007 6 524.0989899 44.31699832 64.197 7 449.6943836 37.27739727 48.03 9 473.3537491 36.87195818 58.122 7 440.6714648 29.62957746 60.894 6 460.3150734 42.3636789 52.133 12 463.3133672 34.45739453 62.569 7 483.3185748 46.26842913 59.708 485.1825862 37.0945977 60.615 6 455.6776429 44.67777382 57.611 15 444.993757 32.22762617 49.628 6 458.1288704 39.72864507 57.757 11 455.5963425 42.25505708 64.066 14 542.7305048 46.37108414 54.504 5 464.5800542 35.3266757 50.62 6 451.3592229 43.71020381 59.098 15 501.7435013 39.48425022 62.838 6 496.0710399 45.38383998 53.768 10 528.0587313 44.38945522 59.722 6 503.9196202 45.50327004 52.9 9 1 2 3 4 55 5 7 3 3 13 1 2 3 4 5 5 7 3 3 1 C E - . 1 2 3 4 5 5 7 B 3 12 A B D Subs per 1000 Price Income Labor 440.708856 36.97364267 64.867 12 475.0794336 35.42173893 60.549 6 426.0134086 29.22490144 48.664 6 437.3416207 37.65210345 57.429 12 424.3132453 31.60737421 48.669 8 405.8547974 24.82663289 54.895 6 392.3133087 34.36838478 56.103 15 477.0864377 43.37490628 62.837 12 487.1057145 41.38095242 52.82 8 488.8287287 41.30028811 63.027 9 489.1651806 41.83036343 52.183 8 517.795371 42.89806183 58.407 6 508.5574657 50.29174428 60.807 13 455.5854772 40.62991287 57.806 12 442.4767971 40.97813285 50.608 13 452.0480126 39.11633544 55.35 11 505.8553432 42.00172386 59.845 7 424.0854643 36.58741072 50.561 450.9913707 41.84456178 53.924 13 440.1421517 40.66985861 58.123 14 458.4030341 33.56600568 55.007 6 524.0989899 44.31699832 64.197 7 449.6943836 37.27739727 48.03 9 473.3537491 36.87195818 58.122 7 440.6714648 29.62957746 60.894 6 460.3150734 42.3636789 52.133 12 463.3133672 34.45739453 62.569 7 483.3185748 46.26842913 59.708 485.1825862 37.0945977 60.615 6 455.6776429 44.67777382 57.611 15 444.993757 32.22762617 49.628 6 458.1288704 39.72864507 57.757 11 455.5963425 42.25505708 64.066 14 542.7305048 46.37108414 54.504 5 464.5800542 35.3266757 50.62 6 451.3592229 43.71020381 59.098 15 501.7435013 39.48425022 62.838 6 496.0710399 45.38383998 53.768 10 528.0587313 44.38945522 59.722 6 503.9196202 45.50327004 52.9 9 1 2 3 4 55 5 7 3 3 13 1 2 3 4 5 5 7 3 3 1
Step by Step Solution
There are 3 Steps involved in it
Get step-by-step solutions from verified subject matter experts
