Question: You can only use these rules and pls writ step by step. i finished a and b, pls answer rest of them. Problem 1. (4+1

You can only use these rules and pls writ step by step. i finished a and b, pls answer rest of them.

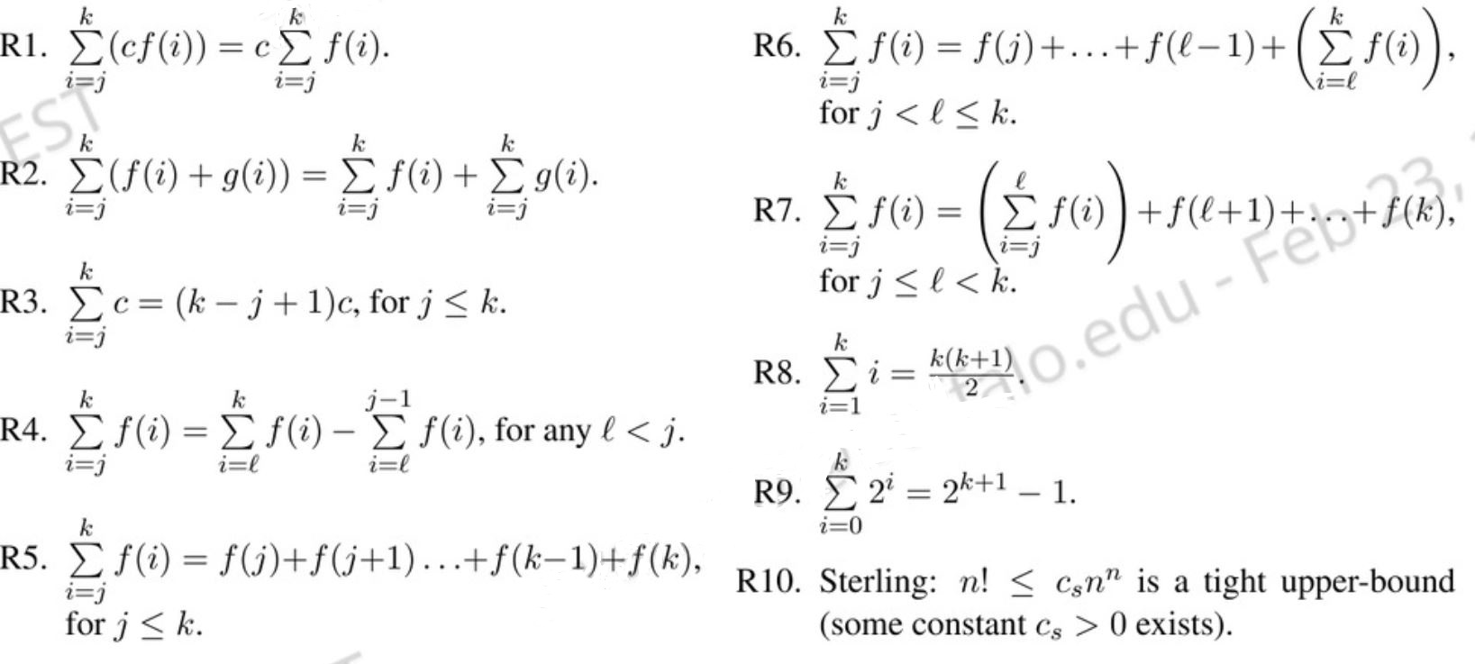
Problem 1. (4+1 points each for (a)-(f), 5 points for (g)) Consider the following summations that are functions of n: 1(a) fi(n) = (4i +1) 1(c) f3(n) = log(n) (3n) i=3 le) fs(n) = "" (2) log(n) 10) feln) = "" (63 + log() 1(a) fa(n) = 3 1(f) fe(n) = i log(n) + log(n)) i=n/2 1(g) Arrange the functions in order of growth, from slowest growth on the left to fastest growth on the right. In the event of a tie, put the function with the smaller constant/terms to the left. No justification required. for j
Step by Step Solution
There are 3 Steps involved in it
Get step-by-step solutions from verified subject matter experts
