Question: You have the following function to solve: Show that this function could be solve, using H(x;a), which the unit step function or heavyside function: Use
You have the following function to solve:
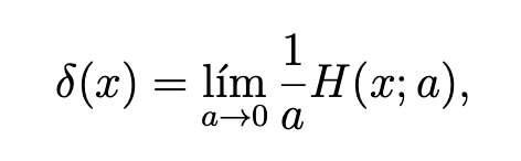
Show that this function could be solve, using H(x;a), which the unit step function or heavyside function:
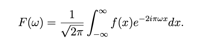
Use the following representation of the FT

Write down all steps, readable and cleanly, and remember it is necessary to use the unit step function to solve this problem.
f(x)=(x) (x)=lima0a1H(x;a) F()=21f(x)e2ixdx
Step by Step Solution
There are 3 Steps involved in it
1 Expert Approved Answer
Step: 1 Unlock
Question Has Been Solved by an Expert!
Get step-by-step solutions from verified subject matter experts
Step: 2 Unlock
Step: 3 Unlock
