Question: You will be provided with the year special journals for their company. You will be process for posting special journals to the ledgers. This is
You will be provided with the year special journals for their company. You will be process for posting special journals to the ledgers. This is a critical first step and will serve as the starting point for the project. You will be required to prepared a pre-adjusted trial balance, record and post the end of the year adjusting journal entries, prepare an adjusted trial balance, the first year income statement and balance sheet, and the closing entries. If you need something else tell me please!




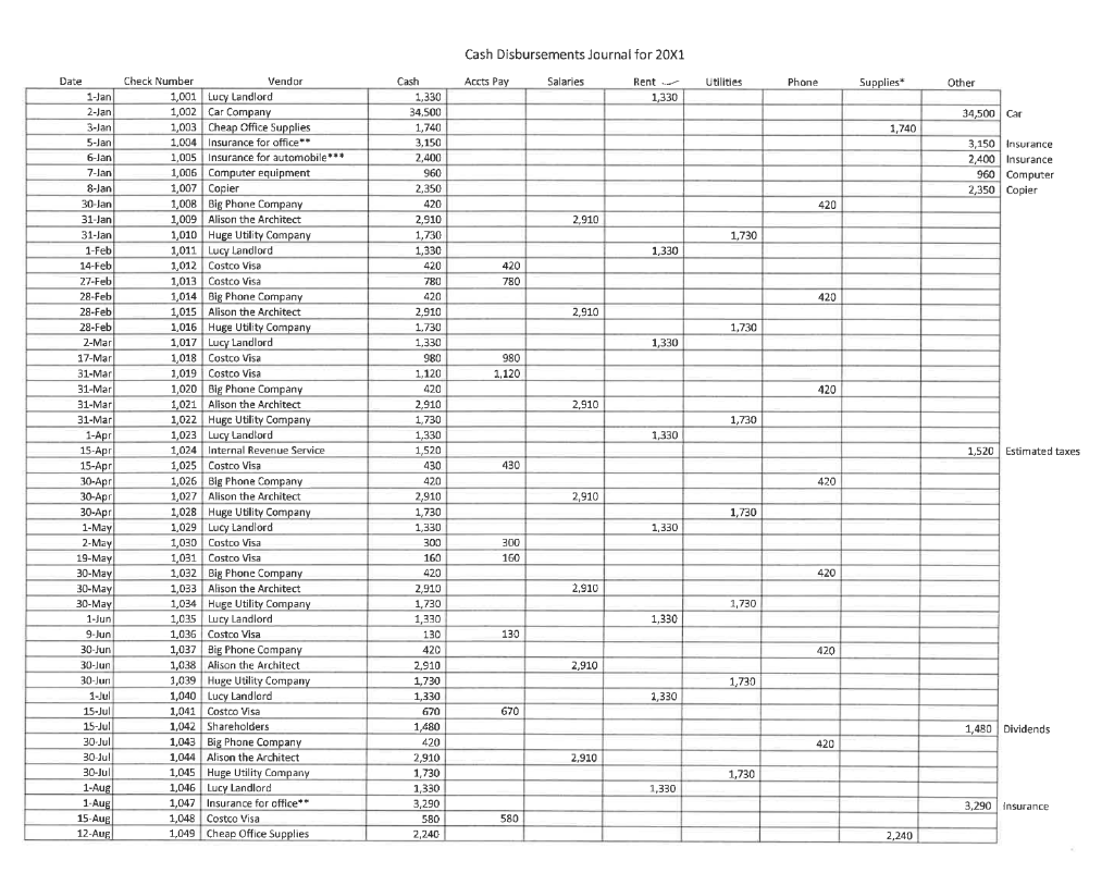
Sample Company On January 1, 20x1, Alison the Architect opened the doors to her new business. She issued shares of the Company to some family members who were nice enough to invest in her entrepreneurial dream. You are a friend and have offered to provide accounting services to her at a reduced cost You have taught her how to produce the sales journal, cash receipts journal, purchases journal and cash disbursements journal. We are using a manual accounting system. Maintain your general ledger in pencil. The Board of Directors declared dividends as follows Date 30-Jun $ 30 Oct $ Dividend per Share 0.02 0.02 Payment Date 15-Jul 15-Nov Sales Journal for 20x1 Date Customer Number 15-Jan Customer 1001 11-Feb Customer 1002 15-Mar Customer 1003 18-Apr Customer 1004 7-May Customer 1005 9-Jun Customer 1006 16-Jul Customer 1007 4-Aug Customer 1008 13-Sep Customer 1009 11-Oct Customer 1010 16-Noy Customer 1011 7-Dec Customer 1012 Total Sales 9,130 10,770 12,210 12,650 12,310 11,620 3,710 7,840 13,100 9,880 11,640 13,190 128,060 Cash Receipts for 20X1 Accounts Receivable Other 318,200 Issuance of stock Date Customer Number 1-Jan Stockbroker 14-Feb Customer 1001 1-Mar Customer 1001 13-Mar Customer 1002-..-..... 22-Mar Customer 1001 28-Mar Customer 1002 14-Apr Customer 1003 18-Apr Customer 1002 29.Apr Customer 1003 18-May Customer 2004 20-May Customer 1003 2-Jun Customer 1004 6-Jun Customer 1005 21-lun Customer 1005 23-Jun Customer 1004 9-Jul Customer 1006 12-Jul Customer 1005 24-Jul Customer 1006 14-Aug Customer 1006 15-Aug Customer 1007 30 Aug Customer 1007 3-Sep Customer 1008 18-Sep Customer 1008 20-Sep Customer 1007 9-Oct Customer 1008 13-Oct Customer 1009 28-Oct Customer 1009 10 Nov Customer 1010 18-Noy Customer 1009 25-Nov Customer 1010 16-Dec Customer 1011 16-Dec Customer 10L0 31-Dec Customer 1011 Total Cash 318,200 3,200 1,800 3,800 4,130 2,200 4,300 4,770 2.400 4,400 5,510 2.500 4,300 2.500 5,760 4,100 5,510 2,300 5,220 1,300 700 2,700 1,600 1,710 3,540 4,600 2,500 3,500 5.900 2.000 4,100 4,380 2,300 427,830 3,200 1,800 3,800 4,130 2,200 4,300 4,770 2,400 4,400 5,510 2,500 4,300 2,500 5,760 4,100 5,510 2,300 5,220 1,300 700 2,700 1,600 1,710 3,540 4,600 2,600 3,500 5,900 2,000 4,100 4,380 2,300 109,630 318,200 74,000 Number of $1.00 par value shares issued Purchases Journal for 20X1 Vendor Date 15-Jan Costco 28-Jan Costco 15-Feb Costco 1-Mar Costco 16-Mar Costco 2-Apr Costco 19-Apr Costco 10-May Costco 15-Jun Costco 16-Jul Costco 3-Aug Costco 1-Sep Costco 15-Oct Costco 14-Nov Costco 9-Dec Costco 18-Dec Costco Total Kitchen Supplies* 420 780 980 1,120 430 300 160 130 670 580 390 870 1,010 320 400 260 8,820 Due Date 14-Feb 27-Feb 17-Mar 31-Mar 15-Apr 2-May 19-May 9-Jun 15-Jul 15-Aug 2-Sep 1-Oct 14-Nov 14-Dec 8-Jan 17-Jan *Classify the purchases of kitchen supplies as kitchen supplies expense Cash Disbursements Journal for 20X1 Acets Pay Salaries Utilities Phone Supplies Other Rent 1,330 34,500 Car 1,740 3,150 Insurance 2,400 Insurance 960 Computer 2,350 Copier 420 2,910 1,730 1,330 420 780 420 2.910 1,730 1,330 980 1,120 420 2,910 1,730 1,330 1,520 Estimated taxes Date 1-Jan 2-Jan 3-lan 5-Jan 6-lan 7-Jan 8-Jan 30-Jan 31-Jan 31-Jan 1-Feb 14-Feb 27-Feb 28-Feb 28-Feb 28-Feb 2-Mar 17-Mar 31-Mar 31-Mar 31-Mar 31-Mar 1-Apr 15-Apr 15-Apr 30-Apr 30-Apr 30-Apr 1-May 2-May 19-May 30-May 30-May 30-May 1-Jun 9-Jun 30-Jun 30-Jun 30-Jun 1.Jul 15-Jul 15-Jul 30 Jul 30 Jul 30-Jul 1-Aug 1-Aug 15 Aue 12-Aug Check Number Vendor 1,001 Lucy Landlord 1,002 Car Company 1,003 Cheap Office Supplies 1,004 Insurance for office 1,005 Insurance for automobile*** 1,006 Computer equipment 1,007 Copier 1,008 Big Phone Company 1,009 Alison the Architect 1,010 Huge Utility Company 1,011 Lucy Landlord 1,012 Costco Visa 1,013 Costco Visa 1,014 Big Phone Company 1,015 Alison the Architect 1,016 Huge Utility Company 1,017 Lucy Landlord 1,018 Costco Visa 1,019 Costco Visa 1,020 Big Phone Company 1,021 Alison the Architect 1,022 Huge Utility Company 1,023 Lucy Landlord 1,024 Internal Revenue Service 1,025 Costco Visa 1,026 Big Phone Company 1,027 Alison the Architect 1,028 Huge Utility Company 1,029 Lucy Landlord 1,030 Costco Visa 1,031 Costco Visa 1,032 Big Phone Company 1,033 Alison the Architect 1,034 Huge Utility Company 1,035 Lucy Landlord 1,036 Costco Visa 1,037 Big Phone Company 1,038 Alison the Architect 1.039 Huge Utility Company 1,040 Lucy Landlord 1,041 Costco Visa 1,042 Shareholders 1,043 Big Phone Company 1,044 Alison the Architect 1,045 Huge Utility Company 1,046 Lucy Landlord 1,047 Insurance for office. 1,048 Costco Visa 1,049 Cheap Office Supplies Cash 1,330 34.500 1,740 3,150 2,400 960 2.350 420 2,910 1,730 1,330 420 780 420 2.910 1.730 1,330 980 1.120 420 2,910 1,730 1,330 1,520 430 420 2,910 1,730 1,330 300 160 420 2,910 1,730 1,330 130 420 2,910 1,730 1,330 670 1,480 420 2,910 1,730 1,330 3,290 580 2,240 430 420 2,910 1,730 1,330 300 160 420 2,910 1,730 1,330 130 420 2,910 1,730 1,330 670 1,480 Dividends 420 2,910 1,730 1,330 3,290 Insurance 580 2,240 Accts Pay Salaries Rent Utilities Phone 420 Supplies Other 2,910 1,730 1,330 2,560 Insurance 390 1,520 Estimated taxes 420 2,920 1,730 1,330 870 420 Date 30 AUR! 30-Aug 30-Aug 1-Sep 1-Sep 2-Sep 15-Sep 30-Sep 30-Sep 30-Sep 1-Oct 1-Oct 30-Oct 30-Oct 30-Oct| 1-Nov 14-Nov 15-Nov 15-Nov 30-Nov 30-Nov 30-Nov 1-Dec 14-Decl 30-Decl 30-Decl 30-Decl Check Number Vendor 1,050 Big Phone Company 1,051 Alison the Architect 1,052 Huge Utility Company 1,053 Lucy Landlord 1,054 Insurance for car*** 1,055 Costco Visa 1,056 Internal Revenue Service 1,057 Big Phone Company 1,058 Alison the Architect 1,059 Huge Utility Company 1,060 Lucy Landlord 1,061 Costco Visa 1,062 Big Phone Company 1,063 Alison the Architect 1,064 Huge Utility Company 1,065 Lucy Landlord 1,066 Costco Visa 1,067 Cheap Office Supplies 1,068 Shareholders 1,069 Big Phone Company 1,070 Alison the Architect 1,071 Huge Utility Company 1,072 Lucy Landlord 1,073 Costco Visa 1,074 Big Phone Company 1,075 Alison the Architect 1,076 Huge Utility Company Total Cash 420 2,910 1,730 1,330 2,560 390 1,520 420 2,910 1,730 1,330 870 420 2,910 1,730 1.330 1,010 2,130 1,480 420 2,910 1,730 1,330 320 420 2,910 1,730 146,160 2.910 1,730 1,330 1.000 2,130 1,480 Dividends 420 2,910 1,730 1,330 320 420 2,910 1,730 20,760 8,160 34,920 15,960 5,040 6,110 55,210 Classify supplies as office supplies on hand ** Insurance for office is a prepayment for 7 months *** Insurance for automobile is prepayment for 8 months Useful lives - Straight line depreciation, no salvage value Useful life Automobile 7 Computer 6 Copier 8 920 530 1,210 Information for adjustments Ending office supplies on hand Ending kitchen supplies on hand Accrue professional service costs (accoutning) Adjust prepaid insurance Record depreciation Tax rate Dividends per share declared December 31 20% 0.05 $ Sample Company On January 1, 20x1, Alison the Architect opened the doors to her new business. She issued shares of the Company to some family members who were nice enough to invest in her entrepreneurial dream. You are a friend and have offered to provide accounting services to her at a reduced cost You have taught her how to produce the sales journal, cash receipts journal, purchases journal and cash disbursements journal. We are using a manual accounting system. Maintain your general ledger in pencil. The Board of Directors declared dividends as follows Date 30-Jun $ 30 Oct $ Dividend per Share 0.02 0.02 Payment Date 15-Jul 15-Nov Sales Journal for 20x1 Date Customer Number 15-Jan Customer 1001 11-Feb Customer 1002 15-Mar Customer 1003 18-Apr Customer 1004 7-May Customer 1005 9-Jun Customer 1006 16-Jul Customer 1007 4-Aug Customer 1008 13-Sep Customer 1009 11-Oct Customer 1010 16-Noy Customer 1011 7-Dec Customer 1012 Total Sales 9,130 10,770 12,210 12,650 12,310 11,620 3,710 7,840 13,100 9,880 11,640 13,190 128,060 Cash Receipts for 20X1 Accounts Receivable Other 318,200 Issuance of stock Date Customer Number 1-Jan Stockbroker 14-Feb Customer 1001 1-Mar Customer 1001 13-Mar Customer 1002-..-..... 22-Mar Customer 1001 28-Mar Customer 1002 14-Apr Customer 1003 18-Apr Customer 1002 29.Apr Customer 1003 18-May Customer 2004 20-May Customer 1003 2-Jun Customer 1004 6-Jun Customer 1005 21-lun Customer 1005 23-Jun Customer 1004 9-Jul Customer 1006 12-Jul Customer 1005 24-Jul Customer 1006 14-Aug Customer 1006 15-Aug Customer 1007 30 Aug Customer 1007 3-Sep Customer 1008 18-Sep Customer 1008 20-Sep Customer 1007 9-Oct Customer 1008 13-Oct Customer 1009 28-Oct Customer 1009 10 Nov Customer 1010 18-Noy Customer 1009 25-Nov Customer 1010 16-Dec Customer 1011 16-Dec Customer 10L0 31-Dec Customer 1011 Total Cash 318,200 3,200 1,800 3,800 4,130 2,200 4,300 4,770 2.400 4,400 5,510 2.500 4,300 2.500 5,760 4,100 5,510 2,300 5,220 1,300 700 2,700 1,600 1,710 3,540 4,600 2,500 3,500 5.900 2.000 4,100 4,380 2,300 427,830 3,200 1,800 3,800 4,130 2,200 4,300 4,770 2,400 4,400 5,510 2,500 4,300 2,500 5,760 4,100 5,510 2,300 5,220 1,300 700 2,700 1,600 1,710 3,540 4,600 2,600 3,500 5,900 2,000 4,100 4,380 2,300 109,630 318,200 74,000 Number of $1.00 par value shares issued Purchases Journal for 20X1 Vendor Date 15-Jan Costco 28-Jan Costco 15-Feb Costco 1-Mar Costco 16-Mar Costco 2-Apr Costco 19-Apr Costco 10-May Costco 15-Jun Costco 16-Jul Costco 3-Aug Costco 1-Sep Costco 15-Oct Costco 14-Nov Costco 9-Dec Costco 18-Dec Costco Total Kitchen Supplies* 420 780 980 1,120 430 300 160 130 670 580 390 870 1,010 320 400 260 8,820 Due Date 14-Feb 27-Feb 17-Mar 31-Mar 15-Apr 2-May 19-May 9-Jun 15-Jul 15-Aug 2-Sep 1-Oct 14-Nov 14-Dec 8-Jan 17-Jan *Classify the purchases of kitchen supplies as kitchen supplies expense Cash Disbursements Journal for 20X1 Acets Pay Salaries Utilities Phone Supplies Other Rent 1,330 34,500 Car 1,740 3,150 Insurance 2,400 Insurance 960 Computer 2,350 Copier 420 2,910 1,730 1,330 420 780 420 2.910 1,730 1,330 980 1,120 420 2,910 1,730 1,330 1,520 Estimated taxes Date 1-Jan 2-Jan 3-lan 5-Jan 6-lan 7-Jan 8-Jan 30-Jan 31-Jan 31-Jan 1-Feb 14-Feb 27-Feb 28-Feb 28-Feb 28-Feb 2-Mar 17-Mar 31-Mar 31-Mar 31-Mar 31-Mar 1-Apr 15-Apr 15-Apr 30-Apr 30-Apr 30-Apr 1-May 2-May 19-May 30-May 30-May 30-May 1-Jun 9-Jun 30-Jun 30-Jun 30-Jun 1.Jul 15-Jul 15-Jul 30 Jul 30 Jul 30-Jul 1-Aug 1-Aug 15 Aue 12-Aug Check Number Vendor 1,001 Lucy Landlord 1,002 Car Company 1,003 Cheap Office Supplies 1,004 Insurance for office 1,005 Insurance for automobile*** 1,006 Computer equipment 1,007 Copier 1,008 Big Phone Company 1,009 Alison the Architect 1,010 Huge Utility Company 1,011 Lucy Landlord 1,012 Costco Visa 1,013 Costco Visa 1,014 Big Phone Company 1,015 Alison the Architect 1,016 Huge Utility Company 1,017 Lucy Landlord 1,018 Costco Visa 1,019 Costco Visa 1,020 Big Phone Company 1,021 Alison the Architect 1,022 Huge Utility Company 1,023 Lucy Landlord 1,024 Internal Revenue Service 1,025 Costco Visa 1,026 Big Phone Company 1,027 Alison the Architect 1,028 Huge Utility Company 1,029 Lucy Landlord 1,030 Costco Visa 1,031 Costco Visa 1,032 Big Phone Company 1,033 Alison the Architect 1,034 Huge Utility Company 1,035 Lucy Landlord 1,036 Costco Visa 1,037 Big Phone Company 1,038 Alison the Architect 1.039 Huge Utility Company 1,040 Lucy Landlord 1,041 Costco Visa 1,042 Shareholders 1,043 Big Phone Company 1,044 Alison the Architect 1,045 Huge Utility Company 1,046 Lucy Landlord 1,047 Insurance for office. 1,048 Costco Visa 1,049 Cheap Office Supplies Cash 1,330 34.500 1,740 3,150 2,400 960 2.350 420 2,910 1,730 1,330 420 780 420 2.910 1.730 1,330 980 1.120 420 2,910 1,730 1,330 1,520 430 420 2,910 1,730 1,330 300 160 420 2,910 1,730 1,330 130 420 2,910 1,730 1,330 670 1,480 420 2,910 1,730 1,330 3,290 580 2,240 430 420 2,910 1,730 1,330 300 160 420 2,910 1,730 1,330 130 420 2,910 1,730 1,330 670 1,480 Dividends 420 2,910 1,730 1,330 3,290 Insurance 580 2,240 Accts Pay Salaries Rent Utilities Phone 420 Supplies Other 2,910 1,730 1,330 2,560 Insurance 390 1,520 Estimated taxes 420 2,920 1,730 1,330 870 420 Date 30 AUR! 30-Aug 30-Aug 1-Sep 1-Sep 2-Sep 15-Sep 30-Sep 30-Sep 30-Sep 1-Oct 1-Oct 30-Oct 30-Oct 30-Oct| 1-Nov 14-Nov 15-Nov 15-Nov 30-Nov 30-Nov 30-Nov 1-Dec 14-Decl 30-Decl 30-Decl 30-Decl Check Number Vendor 1,050 Big Phone Company 1,051 Alison the Architect 1,052 Huge Utility Company 1,053 Lucy Landlord 1,054 Insurance for car*** 1,055 Costco Visa 1,056 Internal Revenue Service 1,057 Big Phone Company 1,058 Alison the Architect 1,059 Huge Utility Company 1,060 Lucy Landlord 1,061 Costco Visa 1,062 Big Phone Company 1,063 Alison the Architect 1,064 Huge Utility Company 1,065 Lucy Landlord 1,066 Costco Visa 1,067 Cheap Office Supplies 1,068 Shareholders 1,069 Big Phone Company 1,070 Alison the Architect 1,071 Huge Utility Company 1,072 Lucy Landlord 1,073 Costco Visa 1,074 Big Phone Company 1,075 Alison the Architect 1,076 Huge Utility Company Total Cash 420 2,910 1,730 1,330 2,560 390 1,520 420 2,910 1,730 1,330 870 420 2,910 1,730 1.330 1,010 2,130 1,480 420 2,910 1,730 1,330 320 420 2,910 1,730 146,160 2.910 1,730 1,330 1.000 2,130 1,480 Dividends 420 2,910 1,730 1,330 320 420 2,910 1,730 20,760 8,160 34,920 15,960 5,040 6,110 55,210 Classify supplies as office supplies on hand ** Insurance for office is a prepayment for 7 months *** Insurance for automobile is prepayment for 8 months Useful lives - Straight line depreciation, no salvage value Useful life Automobile 7 Computer 6 Copier 8 920 530 1,210 Information for adjustments Ending office supplies on hand Ending kitchen supplies on hand Accrue professional service costs (accoutning) Adjust prepaid insurance Record depreciation Tax rate Dividends per share declared December 31 20% 0.05 $
Step by Step Solution
There are 3 Steps involved in it
Get step-by-step solutions from verified subject matter experts
