Question: You will construct each control chart manually and will be submitted through File Response. You can use Minitab to verify your results, but you have
You will construct each control chart manually and will be submitted through File Response. You can use Minitab to verify your results, but you have to send the written calculations. Also, perform the Process Capability Analysis assuming the number of opportunities for defects to be 7.


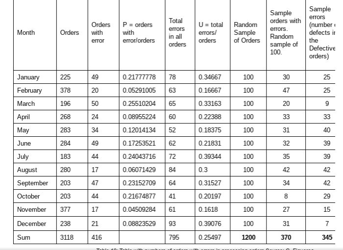
Objective: Upon completion of this activity, you will be able to construct and analyze Control Charts for Attributes and calculate the capability for Attribute Data. Student Instructions: This is an analysis test consisting of 1 exercise. You have one (1) hour to answer these questions. You will have only one (1) attempt to complete this short test. This activity has a value of 10 points. The deadline for this activity can be found in "Tools" located in "Calendar" in the Blackboard platform. You will construct each control chart manually and will be submitted through File Response. You can use Minitab to verify your results, but you have to send the written calculations. Also, perform the Process Capability Analysis assuming the number of opportunities for defects to be 7. Orders Month Orders with P = orders with error/orders Total errors in all orders U = total Random errors/ Sample orders of Orders Sample orders with errors. Random sample of 190 Sample errors (number defects in the Defective error Month Orders Orders with error P = orders with error/orders Total errors in all orders U = total errors/ orders Random Sample of Orders Sample orders with errors. Random sample of 100. Sample errors (number defects it the Defective orders) 225 49 78 0.34667 100 30 25 January February 378 20 63 0.16667 47 25 0.21777778 0.05291005 0.25510204 0.08955224 March 196 50 65 0.33163 20 9 100 100 100 100 April 268 24 0.22388 33 33 May 283 34 0.12014134 0.18375 31 40 June 284 49 0.21831 100 32 39 0.17253521 0.24043716 60 52 62 72 84 64 183 44 0.39344 100 35 39 280 17 100 42 42 July August September October 0.06071429 0.23152709 0.3 0.31527 203 47 100 34 42 203 44 0.21674877 41 0.20197 100 8 29 November 377 17 0.04509284 61 0.1618 100 27 15 December 238 21 0.08823529 93 0.39076 100 31 7 Sum 3118 416 795 0.25497 1200 370 345 Objective: Upon completion of this activity, you will be able to construct and analyze Control Charts for Attributes and calculate the capability for Attribute Data. Student Instructions: This is an analysis test consisting of 1 exercise. You have one (1) hour to answer these questions. You will have only one (1) attempt to complete this short test. This activity has a value of 10 points. The deadline for this activity can be found in "Tools" located in "Calendar" in the Blackboard platform. You will construct each control chart manually and will be submitted through File Response. You can use Minitab to verify your results, but you have to send the written calculations. Also, perform the Process Capability Analysis assuming the number of opportunities for defects to be 7. Orders Month Orders with P = orders with error/orders Total errors in all orders U = total Random errors/ Sample orders of Orders Sample orders with errors. Random sample of 190 Sample errors (number defects in the Defective error Month Orders Orders with error P = orders with error/orders Total errors in all orders U = total errors/ orders Random Sample of Orders Sample orders with errors. Random sample of 100. Sample errors (number defects it the Defective orders) 225 49 78 0.34667 100 30 25 January February 378 20 63 0.16667 47 25 0.21777778 0.05291005 0.25510204 0.08955224 March 196 50 65 0.33163 20 9 100 100 100 100 April 268 24 0.22388 33 33 May 283 34 0.12014134 0.18375 31 40 June 284 49 0.21831 100 32 39 0.17253521 0.24043716 60 52 62 72 84 64 183 44 0.39344 100 35 39 280 17 100 42 42 July August September October 0.06071429 0.23152709 0.3 0.31527 203 47 100 34 42 203 44 0.21674877 41 0.20197 100 8 29 November 377 17 0.04509284 61 0.1618 100 27 15 December 238 21 0.08823529 93 0.39076 100 31 7 Sum 3118 416 795 0.25497 1200 370 345
Step by Step Solution
There are 3 Steps involved in it
Get step-by-step solutions from verified subject matter experts
