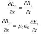
Question: (a) Using arguments similar to those given in the text, show that for a plane wave, in which E and B are independent of y
(a) Using arguments similar to those given in the text, show that for a plane wave, in which E and B are independent of y and z,
.png)
(b) Show that Ez and By also satisfy the wave equation.
, , , at , , E
Step by Step Solution
3.31 Rating (169 Votes )
There are 3 Steps involved in it
a In Figurea replace B z by E z For x small E z x 2 E z x 1 E z x ... View full answer
Get step-by-step solutions from verified subject matter experts
Document Format (1 attachment)
10-P-E-E-W (224).docx
120 KBs Word File
