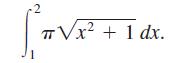
Question: The volume of the solid formed by revolving the function (x) = x 2 + 1 about the x-axis on the interval [1, 2] is
The volume of the solid formed by revolving the function ƒ(x) = √x2 + 1 about the x-axis on the interval [1, 2] is given by
Determine whether each of the following statements is true or false, and explain why.
2 TV x + 1 dx.
Step by Step Solution
3.49 Rating (162 Votes )
There are 3 Steps involved in it
Get step-by-step solutions from verified subject matter experts
