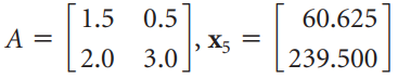
Question: A matrix A is given along with an iterate x 5 , produced as in Example 4.30. (a) Use these data to approximate a dominant
(a) Use these data to approximate a dominant eigenvector whose first component is 1 and a corresponding dominant eigenvalue. (Use three-decimal-place accuracy.)
(b) Compare your approximate eigenvalue in part (a) with the actual dominant eigenvalue.

1.5 0.5 X5 2.0 3.0 60.625 239.500
Step by Step Solution
3.50 Rating (167 Votes )
There are 3 Steps involved in it
a dominant eigenvector of ... View full answer
Get step-by-step solutions from verified subject matter experts
