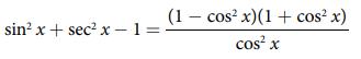
Question: For the following exercises, determine if the given identities are equivalent. (1 cosx)(1+ cosx) cosx sin x + secx-1=-
For the following exercises, determine if the given identities are equivalent.

(1 cosx)(1+ cosx) cosx sin x + secx-1=-
Step by Step Solution
★★★★★
3.25 Rating (157 Votes )
There are 3 Steps involved in it
1 Expert Approved Answer
Step: 1 Unlock
here sin 2 x sec 2 x ... View full answer
Question Has Been Solved by an Expert!
Get step-by-step solutions from verified subject matter experts
Step: 2 Unlock
Step: 3 Unlock
