Question: Section 8.3 Reading Assignment: Trigonometric Integrals Answer Only Exercise 1, 2, and 3 by using a screenshot provided Calculus Pearson textbook. Make sure you read



















Section 8.3 Reading Assignment: Trigonometric Integrals
Answer Only Exercise 1, 2, and 3 by using a screenshot provided Calculus Pearson textbook. Make sure you read these three questions very carefully and see on what it is asking for.
References: Thomas' Calculus: Early Transcendentals | Calculus | Calculus | Mathematics | Store | Pearson+
Feedback: #1: First of all, we are considering the case where one of the powers is odd, so the formulas not relevant to that case should not be mentioned. The algebraic formulas written here are not quite correct as well and the substitution does not apply in the situation that is written here. (1/2) #2: Different examples seem to be considered here? Please be sure to double check the example numbers to be sure. (0/2) #3: This isn't a power reducing formula. And while this is related, this is not the form that this example has. (1/2).



















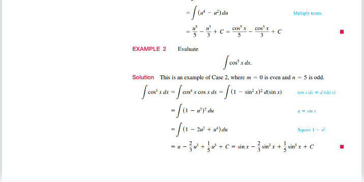
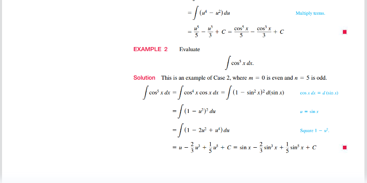
Section 8.3 Reading Assignment: Trigonometric Integrals Instructions. Read through this assignment and complete the three exercises below by reading the appropriate passages of the textbook. This section is, in part, preparation work for the next section (8.4), where we will transform some difficult algebraic integrals into trigonometric integrals. Exercise 1. Read the subsection "Products of Powers of Sines and Cosines" (p. 474 -476), especially the boxed text at the top of p. 475. Explain how to compute the integral of a product of powers of sines and cosines when one of the powers is odd. Be sure to state what trigonometric identity helps with this. The so-called power-reducing identities can come in handy if we consider any of these problems where both powers are even. It might be worth having these written out for reference. We won't be covering the subsection "Eliminating Square Roots" (p. 476-477) in this class. Exercise 2. Read Example 6 (p. 477). Explain how this example is related to Example 4 of Section 8.2 (p. 469 - 470). Refer to the Section 8.2 reading assignment for reference. These powers of tangent and secant can be considered as thoroughly as those for sine and cosine, but it's not explicitly stated here for whatever reason. We will consider one of the nice cases in the next exercise. There is a similar nice case for when the power of tan is odd, but there are no examples in the textbook of this type. It might be worth thinking about this. Exercise 3. Read Example 7 (p. 478). For what parity (i.e. even or odd) of the power of sec, is there a nice strategy that can be used like in the powers of sines and cosines considered in Exercise 1 above? Describe a strategy similar to the one for sines and cosines (p. 475) and explain how this method is different. We won't be covering the subsection "Products of Sines and Cosines" (p. 478 - 479) in this class.'This isn't to say that these integrals aren't important. They are relevant in Fourier Analysis. Perhaps the most important fact about these is that the definite integrals of these from 0 to 2nt are zero when m # n.Chapter 8 Techniques of Integration 474 Chapter 8 Techniques of Integration The idea is to take the most complicated part of the integral, in this case integral of f-1 us f (x), and simplify it first. For the integral of In x, we get Inxx - / yer dy (5) dx = e' dy = yet - e' + C Exercises 81 and 82 compare the results of using Equations (4) and (5). = xInx - x + C. 81. Equations (4) and (5) give different formulas for the integral of For the integral of cos" x we get cos -1 xdx - xcosix - / cos ydy a. ( cos ' rdx = xcos 'x - sin (cos 'x) + C Eq. (4) y = coax = x cos x - siny + C b. / cos edx = xcos 's - VI - F + C Eq. (5) = x cos x - sin (cos x) + C. Use the formula Can both integrations be correct? Explain. 82. Equations (4) and (5) lead to different formulas for the integral of y = f (x) (4) tun"x: to evaluate the integrals in Exercises 77-80. Express your answers in a. / tan 'x dx = xtan ' x - In sec (tan 'x) + C Eq. (4) terms of x. 77. sin 'x dx b. / ian 'x dy = xtan 'x - In Vitr + c Eq. (5) 78. / tan ' x ax Can both integrations be correct? Explain. Evaluate the integrals in Exercises 83 and 84 with (a) Eq. (4) and (b) 79. / sec-1 x dx Eq. (5). In each case, check your work by differentiating your answer with respect to .I. 80. / logz x dx 83. sinh l x dx Another way to integrate f (x) (when fis integrable) is to 84. tank' x dx use integration by parts with a = f" (x) and du = dx to rewrite the8.3 Trigonometric Integrals Trigonometric integrals involve algebraic combinations of the six basic trigonometric functions. In principle, we can always express such integrals in terms of sines and cosines, but it is often simpler to work with other functions, as in the integral sec' x dx = tan x + C. The general idea is to use identities to transform the integrals we have to find into integrals that are easier to work with. Products of Powers of Sines and Cosines We begin with integrals of the form sin" x cos" x dr, where m and n are nonnegative integers (positive or zero). We can divide the appropriate substitution into three cases according to m and a being odd or even.Chapter 8 Techniques of Integration 8.3 Trigonometric Integrals 475 Case 1 If m is odd, we write m as 2k + 1 and use the identity sin x = 1 - cost x to obtain sin x = sin + x = (sin' x)* sin x = (1 - cos' x)* sin.x. (1) Then we combine the single sin x with dx in the integral and set sin x dx equal to -d(cos x). Case 2 If a is odd in / sin" x cos" x dx, we write n as 2k + 1 and use the identity cos x = 1 - sin x to obtain cos" x = cog**+1 x = (cos] x)* cosx = (1 - sin' x)* cos x. We then combine the single cos x with dx and set cos x dx equal to d(sin x)- Case 3 If both m and a are even in / sin" x cos" x dx, we substitute sin 1 = 1 - cos 2x 2 cost1 = 1 + cos 2x 2 (2) to reduce the integrand to one in lower powers of cos 2r. Here are some examples illustrating each case. EXAMPLE 1 Evaluate sin' x cos x dr.Solution This is an example of Case I. (sin' x cos xux = (sin' x cos' x sin x dx mi is odd. = / (1 - cos' x)(cas' x)(-d (cos x) sin xax = -d (cos x) = ( (1 - 1)()(-du) I = COS X = / (or - w-) du Multiply terms. 5 "+ 0 0' x_COs'X C 3 EXAMPLE 2 Evaluate cos' x dx. Solution This is an example of Case 2, where m = 0 is even and n = 5 is odd. cos x edx = / cost x cos x dx = / (1 - sin x)" disinx) cos a de = d (sin x) ME Sin X - / (1 - 20 + w ) du Square I - 12. = N - 2 w + C = sinx - six+ - six + cChapter 8 Techniques of Integration 476 Chapter 8 Techniques of Integration EXAMPLE 3 Evaluate sin' x cost x dr. Solution This is an example of Case 3. sin xcost xax = 1 - cos 2x 1 + cos 2r 2 on and a both even - / ( - cos 2x)(1 + 2 cos 2x + cos- 2x) dr - g / (1 + cas 2x - cos' 2x - cos' 2r) dx 4 x + sin 2x - (cos- 2x + cos' 2x ) dix For the term involving cos' 2x, we use cos' Zx x = 2 / (1 + cos 4x) dx (* + * sin Ar ) Omit constant of integration until final result. For the cos' 2x term, we have cos' 2x edx = / (1 - sin' 2x) cos 2x dx 4 - sin 21, ca - 2 cos 2x at =4/( -w)du = = (sin 2x - { sin' 2x) A gain omit C.Combining everything and simplifying, we get sin' x cos x de - 16 ( x - sin 4x + } sin ' 2x ) + C. Eliminating Square Roots In the next example, we use the identity cos? = (1 + cos 20)/2 to eliminate a square root. EXAMPLE 4 Evaluate VI + cos 4x dr. Solution To eliminate the square root, we use the identity cos30 - I + cos 24 2 or 1 + cos 20 = 2 cos3 0. With 8 - 2x. this becomes 1 + cos 4x = 2 cos 2r.Chapter 8 Techniques of Integration 8.3 Trigonometric Integrals 477 Therefore, VI + cos Ardx = / V2cos 2xax = / Vivcos- 2xax = V2/ leos 2x| dx = V2/ cos 2x dx cos 2r 2: 0 on [0, #/4] = vz sin Zx ]w/4 V2 ( 1 - 0] = V2 Integrals of Powers of tan x and sec x We know how to integrate the tangent and secant functions and their squares. To integrate higher powers, we use the identities tan x = sec x - 1 and sec' x = tan x + 1, and integrate by parts when necessary to reduce the higher powers to lower powers. EXAMPLE 5 Evaluate tant x dr. Solution tant x edx = / tan- x. tan- x dx = / tan- x. (sec- x - 1) dx = / wn xsec'xdx - tan' x dx = / tan" xsec'x dx - ( (see' x - 1) dx = ( wn'xsec'xdx - ( sec xax + dxIn the first integral, we let i = tan A. du = sec' x dx and have The remaining integrals are standard forms, so tan' x dx = = tan'x - tanx + x + C. EXAMPLE 6 Evaluate sec' x dx. Solution We integrate by parts using 1 = SCC X, du = sec x dx. D = tan x, du = see x tan x dr.Chapter 8 Techniques of Integration 8.2 Integration by Parts 469 EXAMPLE 3 Evaluate redr. Solution We use the integration by parts formula Equation (1) with u(x) - &' and v'(x) = ?'. We differentiate a(x) and find an antiderivative of v'(x). w'(x) = 2x and v(x) = ex. We summarize this choice by setting du = u'(x) dx and du = v'(x) dx, so du = 2x dx and du = edx. We then have fredx = re - ezxdx. Integration by parts formula The new integral is less complicated than the original because the exponent on a is reduced by one. To evaluate the integral on the right. we integrate by parts again with u = x, du = edx. Then du = do. v = e, and Integration by parts Equation (2) xedx = re - edx = x8 - e' + C. " = x, dy = edx v= , du = dx Using this last evaluation, we then obtain xedx = re' - 2 xe' dx -re' - 2x' + 20* + C.where the constant of integration is renamed after substituting for the integral on the right. The technique of Example 3 works for any integral / x'edx in which n is a positive integer, because differentiating " will eventually lead to zero and integrating o' is easy. Integrals like the one in the next example occur in electrical engineering. Their evalu- ation requires two integrations by parts, followed by solving for the unknown integral. EXAMPLE 4 Evaluate e cos x x. Solution Let u = e' and du = cos x dx. Then du = c' dx. v = sin x, and ( cos xdx = e' sinx - / e sin x x. M(x) = Wr) = sinx The second integral is like the first except that it has sin x in place of cos x. To evaluate it, we use integration by parts with du = sin x ax, D= -0OS X, du = edr.Chapter 8 Techniques of Integration 470 Chapter 8 Techniques of Integration Then fe cos xax = e'sinx - (-e'cosx - (-eos she'dx) "() = e. vx) = -cos.x = e' sin x + e cosx - / e cos x dx. The unknown integral now appears on both sides of the equation, but with opposite signs. Adding the integral to both sides and adding the constant of integration give 2/ e' cos x dx = e'sin x + e'cos x + C. Dividing by 2 and renaming the constant of integration give e' cos xax = ('sin x + e'cos * + C. 2 EXAMPLE 5 Obtain a formula that expresses the integral cos" x dx in terms of an integral of a lower power of cos x. Solution We may think of cos" x as cos"~ x . cos x. Then we let and du = cos x dx, so that du = (n - 1) cos"-2x (-sin x dr) and v = sin x. Integration by parts then gives cos" x dx = cos" lx sinx + (m - 1)/ sin' x cost 2x dx= cos"xsin x + ( - 1)/ (1 - cos x) eng"-2x dx = cos"xsinx + (n - 1)/ cos"-2xdx - (x - 1)/ cos" x dx. If we add (n - 1)/ cos" x dix to both sides of this equation, we obtain n cos" x dx = cos" -'x sinx + (n - 1)/ cos"-2x dx. We then divide through by n, and the final result is cos" rar = cost x sin x _ n - cos" -2 x dx. The formula found in Example 5 is called a reduction formula because it replaces an integral containing some power of a function with an integral of the same form having theChapter 8 Techniques of Integration 478 Chapter 8 Techniques of Integration Then sec' x dx = sec x tan x (tan x)(sec x tan x dx) = Sec x tan x - / (sec' x - 1) sec x x can' x = sec- x - 1 t / secxdx - ( sec'x dx. Combining the two secant-cubed integrals gives 2 see x dx = sec x tanx + / sec x dx and sec3 x dx = , sec x tan x + , In |sec x + tanx| + C. EXAMPLE 7 Evaluate tan x sec x dx.Solution (tant x )(sect x ) dx - / (tant x)( 1 + tan x)(see- x ) dix sec'x = 1 + tan x = / (tant x + tan" x)(sec'x) dx =( (tant x )(sec' x) ar + (tan" x )(sec' x) dx M = tan S. du = sec cdr 5 _ tan' x + tan'* + c 7 Products of Sines and Cosines The integrals sin my sin nx dx, sin my cos na da, and cos mx cos nx dx arise in many applications involving periodic functions. We can evaluate these integrals through integration by parts, but two such integrations are required in each case. It is sim- pler to use the identities sin max sin nx = 191- [cos (m - n)x - cos (m + n)x], (3) sin my cos nx = " [ sin (m - mix + sin (m + n)x]. (4) COS MIT COS AX [cos (m - mix + cos (m + njx]. (5)Chapter 8 Techniques of Integration 8.3 Trigonometric Integrals 475 Case 1 If m is odd, we write m as 2k + 1 and use the identity sin' x = 1 - cos' x to obtain sin" x = sina+ x = (sin' x)* sin x = (1 - cos' x)* sin.x. (1) Then we combine the single sin x with dr in the integral and set sin x dx equal to -dicos x). Case 2 If a is odd in / sin" x cos" x dx, we write n as 2k + 1 and use the identity cos' x = 1 - sin x to obtain cos" x = cog *+x = (cos* x)* cosx = (1 - sin* x) cos x. We then combine the single cos x with dx and set cos x dx equal to d(sin x). Case 3 If both m and a are even in / sin" x cos" x dx, we substitute sin 1 = 1 - COS 2x cos x = 1 + cos 2x 2 2 (2) to reduce the integrand to one in lower powers of cos 2x. Here are some examples illustrating each case. EXAMPLE 1 Evaluate sin' x cos' x dx. Solution This is an example of Case 1. sin' x cos' r dx = ( sin' x cos' x sin x dx wi is odd. - / (1 - cos x)(cos' x)(-d (cos x) sin xax = -d (ous x) =( ( -w)(w)-du)= / (or - w- ) du Multiply terms. COS' X + C 5 3 EXAMPLE 2 Evaluate cos' x dx. Solution This is an example of Case 2, where m = 0 is even and n = 5 is odd. cos x x = / cost xcos x dx = (1 - sin? x)= disin x) cos x de = d ( sin x) ME sin x = / (1 - 20 + 1 ) du Square I - w. = 1 - + 1 w + C = sin x - sin'x+ - six + CChapter 8 Techniques of Integration 8.3 Trigonometric Integrals 479 These identities come from the angle sum formulas for the sine and cosine functions (Section 1.3). They give functions whose antiderivatives are easily found. EXAMPLE 8 Evaluate sin 3x cos 5x dx. Solution From Equation (4) with m = 3 and n = 5, we get sin 3x cos 5x dx = 7 / [sin (-2x) + sin 8x] dr = 2/ (sin & - sin Zv) dx COS &x COS 2X C. 16 4
Step by Step Solution
There are 3 Steps involved in it
Get step-by-step solutions from verified subject matter experts
