Programming Questions and Answers May 06, 2019

Expert-verified solutions to help you succeed

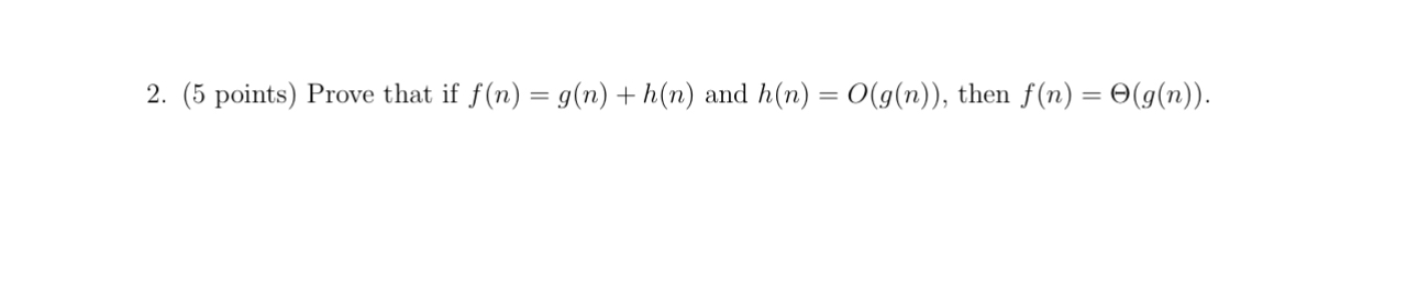
Showing 700 - 800 of 1503
  • 8 / 16