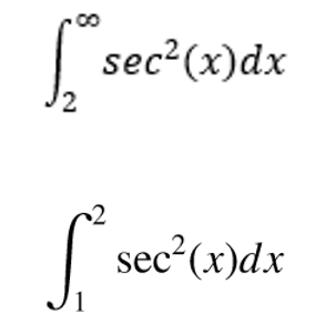
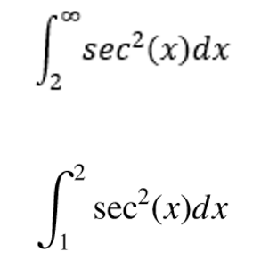
Question: 00 sec2 (x) dx 2 2 sec (x)dx sec2(x)dx 2 sec2 (x)dx


00 sec2 (x) dx 2 2 sec (x)dx
sec2(x)dx 2 sec2 (x)dx
Step by Step Solution
There are 3 Steps involved in it
Get step-by-step solutions from verified subject matter experts
