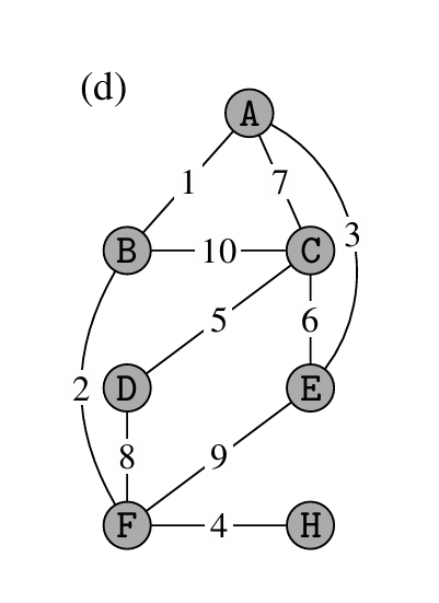
Question: ( 1 1 . 1 9 8 ) List all minimum spanning trees for the graph in Figure d
List all minimum spanning trees for the graph in Figure d
Step by Step Solution
There are 3 Steps involved in it
1 Expert Approved Answer
Step: 1 Unlock
Question Has Been Solved by an Expert!
Get step-by-step solutions from verified subject matter experts
Step: 2 Unlock
Step: 3 Unlock
