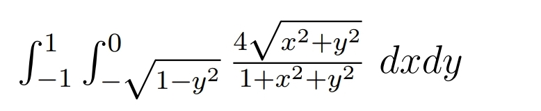
Question: - 1 1 - 1 - y 2 2 0 4 x 2 + y 2 2 1 + x 2 + y 2 d
convert into polar form and integrate
Step by Step Solution
There are 3 Steps involved in it
1 Expert Approved Answer
Step: 1 Unlock
Question Has Been Solved by an Expert!
Get step-by-step solutions from verified subject matter experts
Step: 2 Unlock
Step: 3 Unlock
