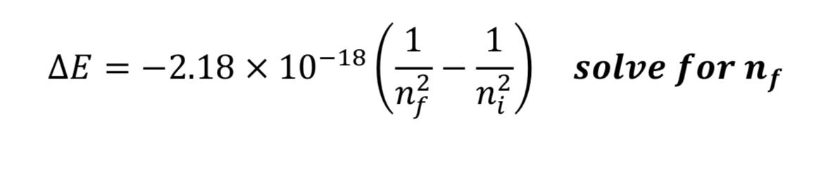
Question: 1 1 = -2.18X 10-18 ? (1) solve for ng 2

1 1 = -2.18X 10-18 ? (1) solve for ng 2
Step by Step Solution
There are 3 Steps involved in it
1 Expert Approved Answer
Step: 1 Unlock
Question Has Been Solved by an Expert!
Get step-by-step solutions from verified subject matter experts
Step: 2 Unlock
Step: 3 Unlock
