Question: 1 12 13 A Regression Statistics B Multiple R0.979138 R Square 0.958712 Adjusted R. Square 0.953551 Standard Error 40.48421 Observations 10 14 15 16
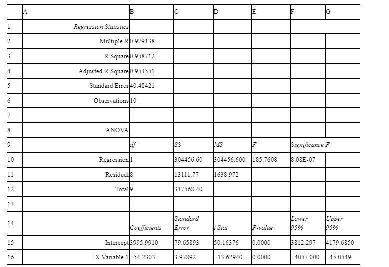
1 12 13 A Regression Statistics B Multiple R0.979138 R Square 0.958712 Adjusted R. Square 0.953551 Standard Error 40.48421 Observations 10 14 15 16 17 8 9 10 11 12 13 ANOVA G df SS MS Significance F Regression 1 304456.60 304456.600 185.7608 8.08E-07 Residual 8 13111.77 1638.972 Total 9 317568.40 14 Coefficients Standard Error t Stat P-value Lower 95% Upper 95% 15 Intercept 3995.9910 79.65893 50.16376 0.0000 3812.297 4179.6850 16 X Variable 1-54.2303 3.97892 -13.62940 0.0000 -4057.000 -45.0549
Step by Step Solution
There are 3 Steps involved in it
1 Expert Approved Answer
Step: 1 Unlock
Question Has Been Solved by an Expert!
Get step-by-step solutions from verified subject matter experts
Step: 2 Unlock
Step: 3 Unlock
